Question: Let A be a positive constant. Let f(a) be a function such that f() = 3 and f' ( 7) = -5. If g(x) =


















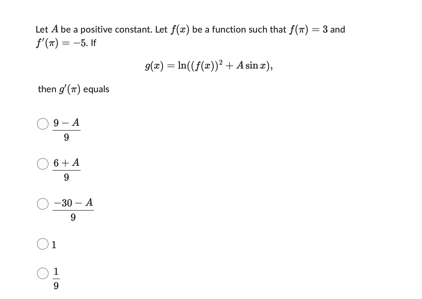
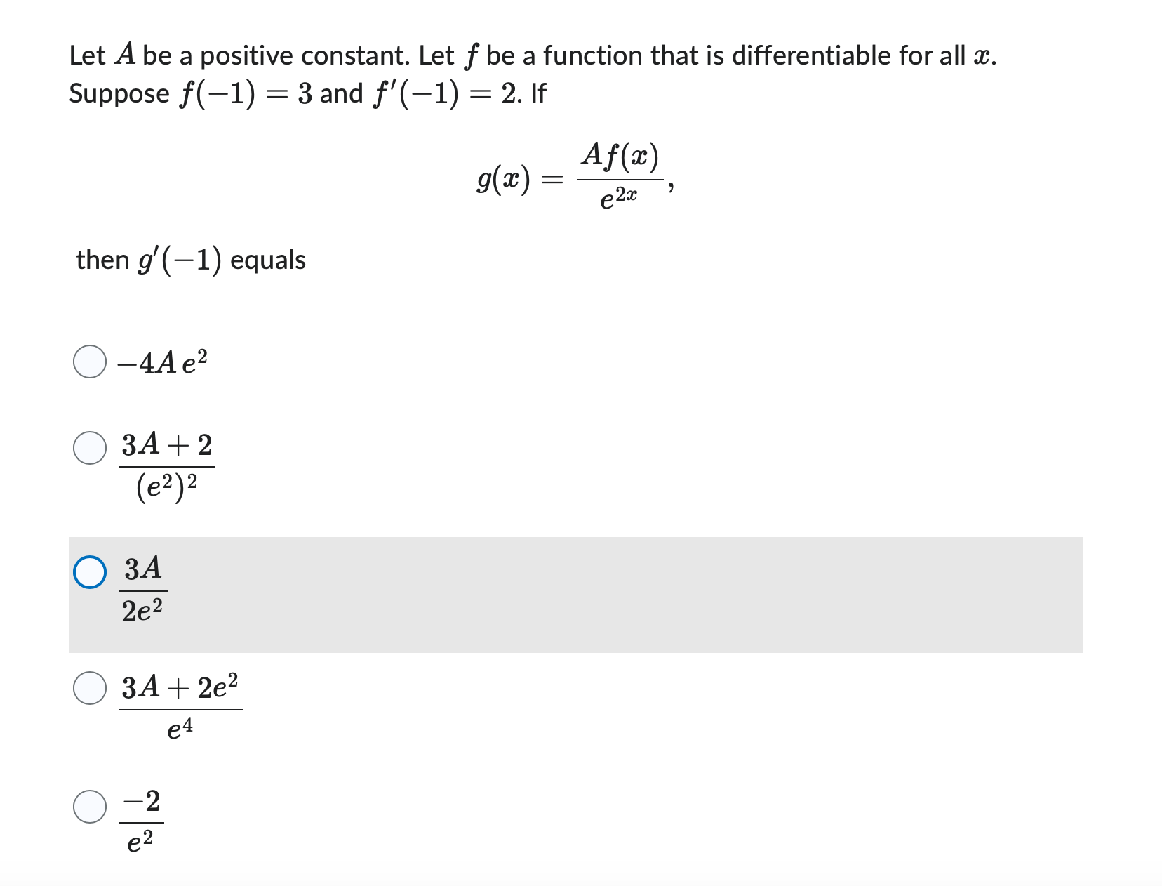
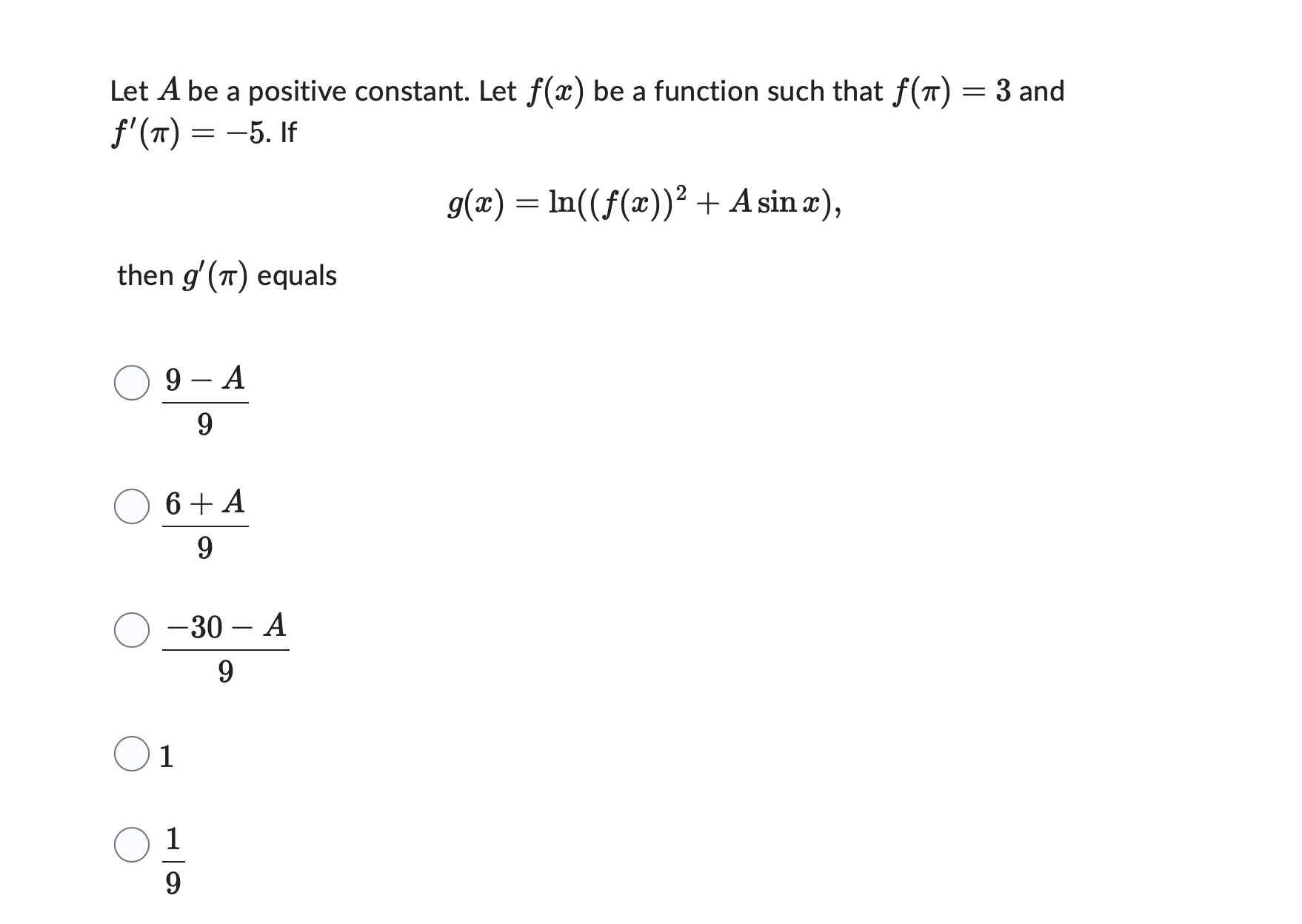
Let A be a positive constant. Let f(a) be a function such that f() = 3 and f' ( 7) = -5. If g(x) = In((f(x))2 + A sin ac), then g'(7) equals 9 -A 9 6 +A 9 O -30 - A 9 1 OQuestion 3 (1 point) Saved Let f(:c) be a function such that lim f(iB) = 0. 22%0 What is the value of 913133 f(m) sin (1) ? iL' @ There is not enough information given to determine whether or not this limit exists. Q 0 Q 1 O This limit does not exist. 0-1 Question 4 (1 point) Let f be a function which is continuous for all 93 with the following properties: f(_3) = 0, f(3) = 4, and lim f(:c) = 0. 56%00 Which of the following assertions is always TRUE? 0 J \\m, ., Q There exists a c on the interval (0, 4) such that f(c) = 2. Q There exists a c on the interval (3, 3) such that f(c) = 2. Q There exists an A > 3 such that f(A) = 1000. Q There exists a c on the interval (3, 3) such that f(c) = 2. Let f (m) be a function that satisfies 1 am: 1 (m2$+1)2 _ $2+($1)2 forall :13. Only one of the limits below cannot be determined by using the Squeeze Theorem. Which one is it? Omfm $)*OO Omm m)71 Question 6 (1 point) Suppose that the function y = f(:z:) is not differentiable at a: = 0. Which of the following statements is always TRUE? 0 f(m) is not continuous at m = O. O f(0) is undefined. Q There is a vertical tangent line to the graph of y = f(:c) at .7: = 0. O m f(0+h) f(0) does not exist. haO h 0 There is a horizontal tangent line to the graph y = at) at :L' = O. Question 7 (1 point) Suppose f is a continuous function defined on the interval [0, 3] and that some of its values are shown below, where k is a constant: Which of the following statements is always TRUE? 0 If k = 3, then the equation f(:B) = O has at least two solutions. 0 If k = 4, then the equation at) = O has at least two solutions. 0 If k = 4, then the equation f(m) = O has exactly two solutions. 0 If k = 3, then the equation f(:c) = O has exactly two solutions. 0 If k = 4, then the equation an) = 0 has at most one solution. Let A be a positive constant. Let f be a function that is differentiable for all :13. Suppose f(1) = 3 and f'(1) = 2. If Am) e237 9(w) = i then g'(1) equals Consider the function x2+d a34 Which of the following statements is FALSE? 0 When c = 20 and d = 6, the function f has a jump discontinuity at m = 4. 0 When 6 = 5 and d = 6, the function f has a jump discontinuity at m = 4. Q When 6 = 14 and d = 6, the function f has a removable discontinuity at a: = 4. Q When 6 = 14 and d = 1, the function f has a removable discontinuity at m = 4. Q When 6 = 20 and d = O, the function f is continuous at as = 4. Question 10 (1 point) Consider the function: 3x2 +4 x 2 Which of the following statements is TRUE? Of is differentiable at a = 1, and f is continuous but not differentiable at x = 2. Of is differentiable at a = 2, and f is continuous but not differentiable at x = 1. Of is not continuous at x = 1 and x = 2. Of is continuous but not differentiable at both x = 1 and x = 2. Of is differentiable at both x = 1 and x = 2
Step by Step Solution
There are 3 Steps involved in it
Get step-by-step solutions from verified subject matter experts
