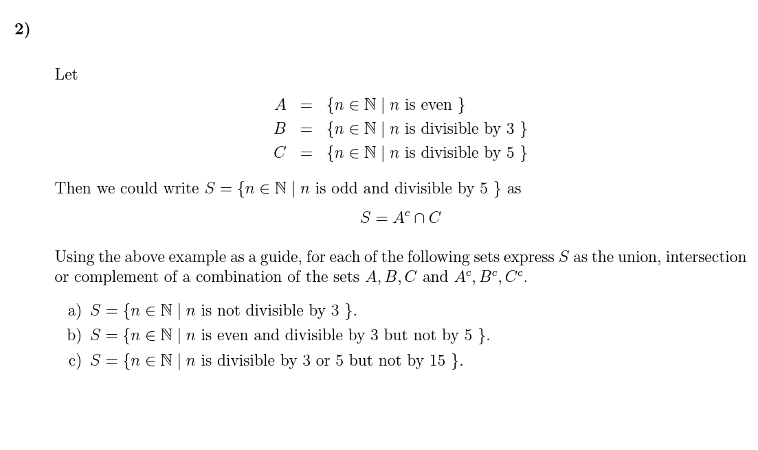
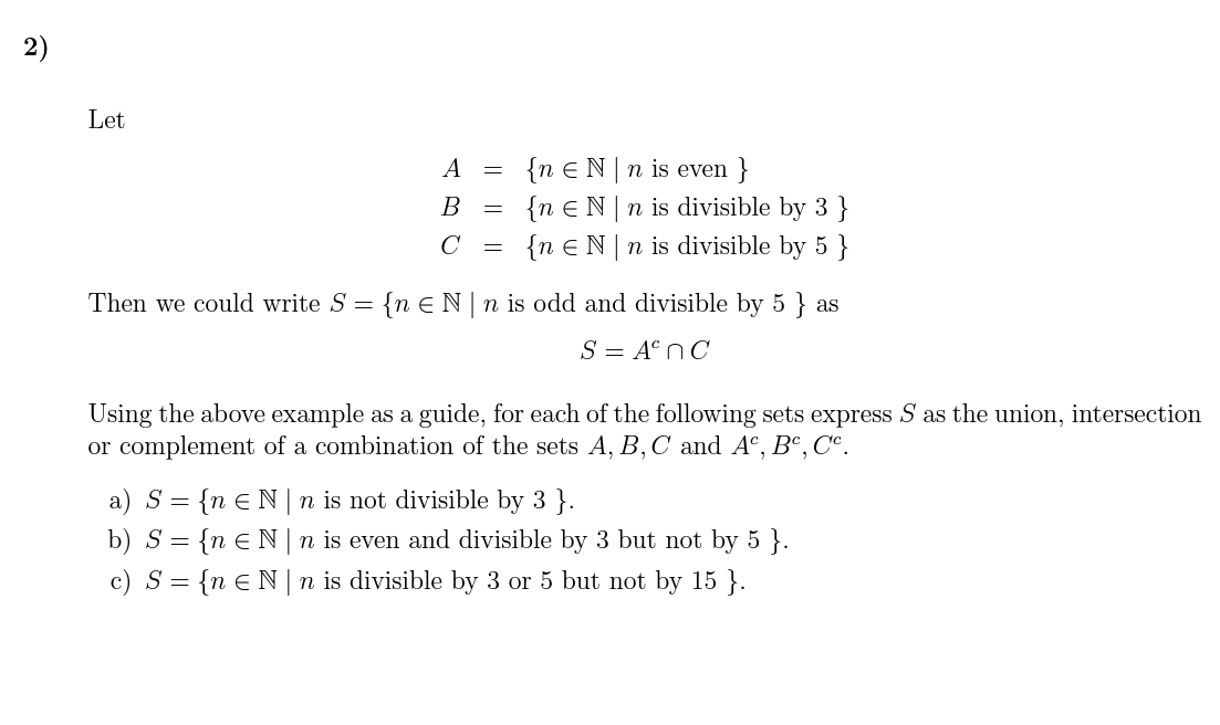
Question: Let A = {HEN|niseven} B : {n E N | n is divisible by 3 } C = {n E N | n is divisible


Let A = {HEN|niseven} B : {n E N | n is divisible by 3 } C = {n E N | n is divisible by 5 } Then we could write 8 : {n E N | n is odd and divisible by 5 } as S : AC ['1 C Using the above example as a guidej for each of the following sets express 5' as the union, intersection or complement of a combination of the sets A, B, C and 1423206. a) S = {n E N | n is not divisible by 3} b) S = {n E N | n is even and divisible by 3 but not by 5 } (1)8 : {n E N | n is divisible by 3 or 5 but not by 15}
Step by Step Solution
There are 3 Steps involved in it
Get step-by-step solutions from verified subject matter experts
