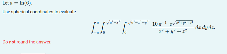
Question: Let a = In(6). Use spherical coordinates to evaluate y de dy dz. 0 x2+y2+ 2 2 Do not round the


Let a = In(6). Use spherical coordinates to evaluate y de dy dz. 0 x2+y2+ 2 2 Do not round the
Step by Step Solution
There are 3 Steps involved in it
1 Expert Approved Answer
Step: 1 Unlock
Question Has Been Solved by an Expert!
Get step-by-step solutions from verified subject matter experts
Step: 2 Unlock
Step: 3 Unlock
