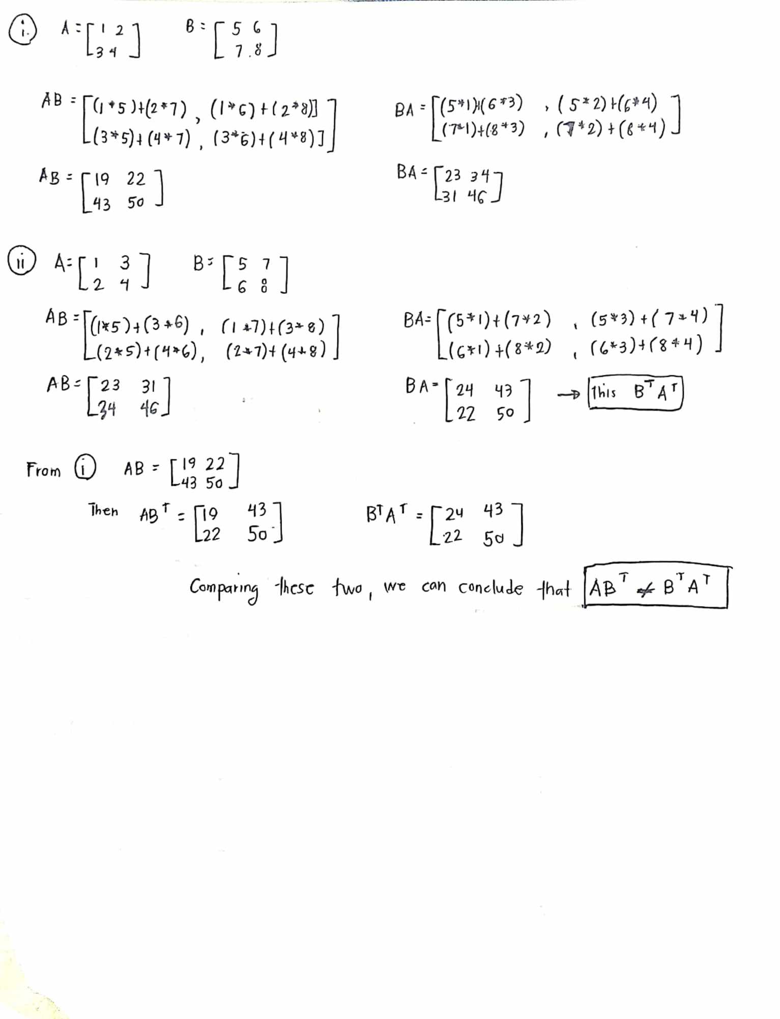
Question: Let = (), and (),be any two matrices. Determine/prove/disprove whether (i) = ; (ii) () = ; (iii) Illustrate your claims with examples. B :
Let = (), and (),be any two matrices. Determine/prove/disprove
whether
(i) = ;
(ii) () = ;
(iii) Illustrate your claims with examples.

B : [ 5 8 ] L [ ( B + 2 ) + ( 9 # 1 ) ( L = Z ) + ( 5 + 1 )) = ay BA = [(5*1)1(6*3) , (5*2)+(6*4) [ [ ( 8 x 1 ) + 19 8)' ( 1 + 17) + ( 5 # 8) 7 ( 7+ 1 ) + (8 * 3 ) , 17 * 2 ) + (8 * 4 ) J AB = [ 19 22 BA = [ 23 347 43 50 ] L31 46J AB = [ ( 1* 5 ) + (3 + 6 ) , (1 + 7) +13 * 8) BA= [(5*1) +(7*2) , (5*3) +(7=4)7 L(2*5)+(4 #6), (2+ 7 )+ (4+8 ). L(6*1) + (8*2) , 16*3)+18+4) AB= [23 31 7 BA= [ 24 43 (34 46 - D This B'AT 22 50 From 1 AB = [43 50 _ Then ABT = [19 43 BTAT L22 50 Comparing these two , we can conclude that AB' * B'AT
Step by Step Solution
There are 3 Steps involved in it
Get step-by-step solutions from verified subject matter experts
