Question: Let B = {0, 1} and consider the function f : IN > B given by 1 if n > 0, ) _ { 0


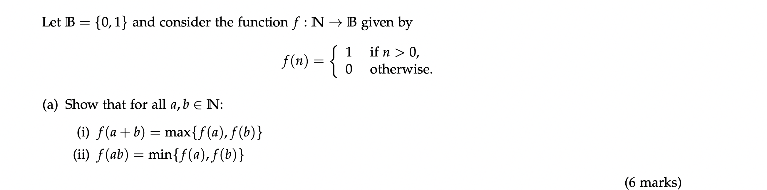
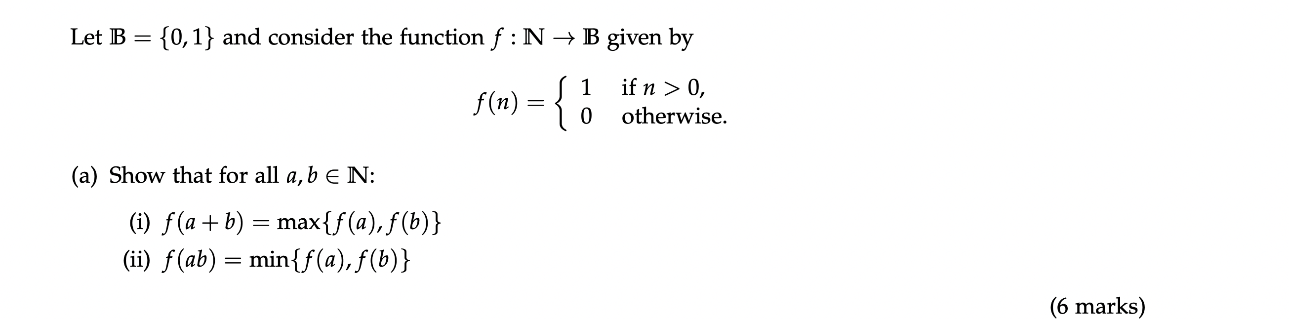
Let B = {0, 1} and consider the function f : IN > B given by 1 if n > 0, ") _ { 0 otherwise. (a) Show that for all a, b E N: (i) f (a + b) = max{f (a),f (17)} (ii) f (ab) = min{f(a),f(b)} (6 marks)
Step by Step Solution
There are 3 Steps involved in it
Get step-by-step solutions from verified subject matter experts
