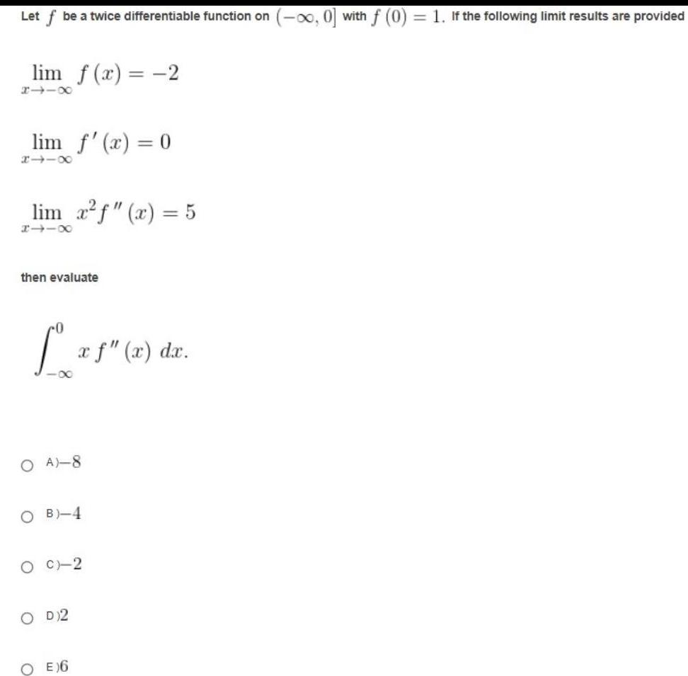
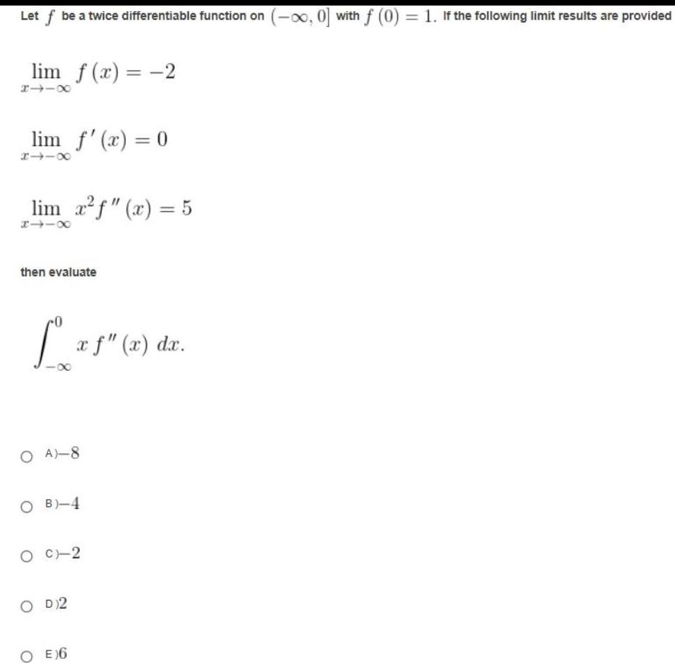
Question: Let f be a twice differentiable function on lim f x 2 8118 lim f x 8118 lim x f x 5 8118 then evaluate


Let f be a twice differentiable function on lim f x 2 8118 lim f x 8118 lim x f x 5 8118 then evaluate x x da f dx O A 8 OB 4 C 2 OD 2 E 6 0 with f 0 1 If the following limit results are provided
Step by Step Solution
There are 3 Steps involved in it
Get step-by-step solutions from verified subject matter experts
