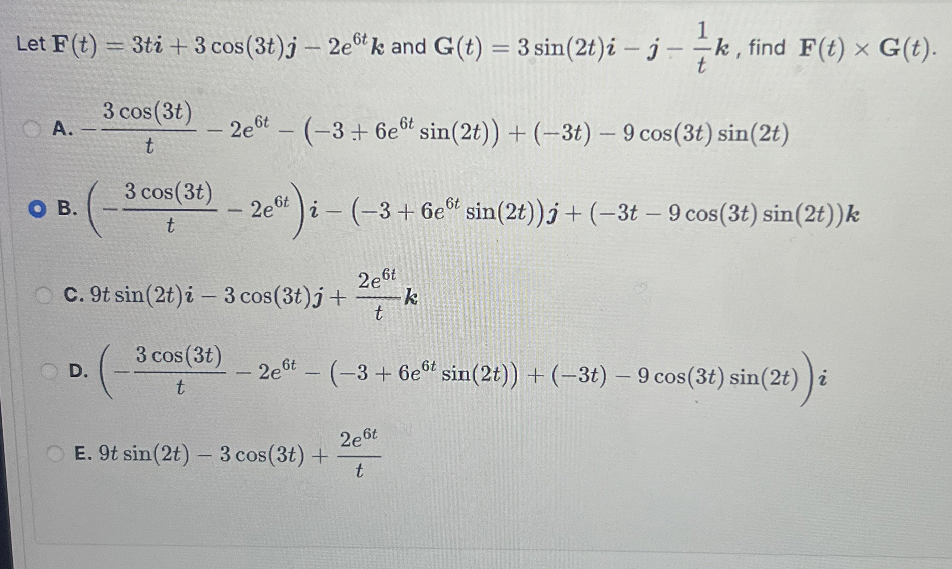
Question: Let F ( t ) = 3 t i + 3 c o s ( 3 t ) j - 2 e 6 t k
Let and find
A
B
c
D
E
Step by Step Solution
There are 3 Steps involved in it
1 Expert Approved Answer
Step: 1 Unlock
Question Has Been Solved by an Expert!
Get step-by-step solutions from verified subject matter experts
Step: 2 Unlock
Step: 3 Unlock
