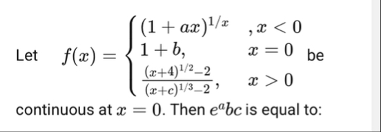
Question: Let f ( x ) = { ( 1 a x ) 1 x , x 0 1 b , x = 0 ( x
Let be continuous at Then is equal to:
Step by Step Solution
There are 3 Steps involved in it
1 Expert Approved Answer
Step: 1 Unlock
Question Has Been Solved by an Expert!
Get step-by-step solutions from verified subject matter experts
Step: 2 Unlock
Step: 3 Unlock
