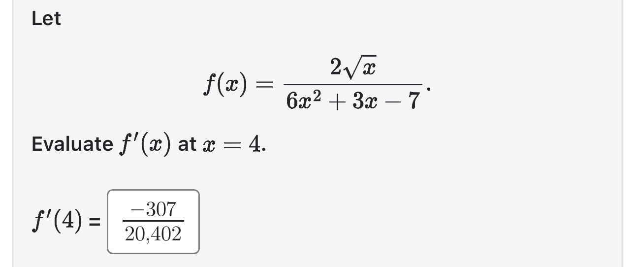
Question: Let f ( x ) = 2 x 2 6 x 2 + 3 x - 7 Evaluate f ' ( x ) at x
Let
Evaluate at
Rong
Step by Step Solution
There are 3 Steps involved in it
1 Expert Approved Answer
Step: 1 Unlock
Question Has Been Solved by an Expert!
Get step-by-step solutions from verified subject matter experts
Step: 2 Unlock
Step: 3 Unlock
