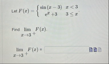
Question: Let F ( x ) = { s i n ( x - 3 ) , x 3 e x 3 , 3 x .
Let
Find
Step by Step Solution
There are 3 Steps involved in it
1 Expert Approved Answer
Step: 1 Unlock
Question Has Been Solved by an Expert!
Get step-by-step solutions from verified subject matter experts
Step: 2 Unlock
Step: 3 Unlock
