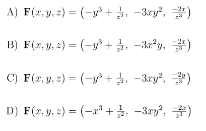
Question: Let A) F(x, y, z) = (-y3. - 3ry 2:r -2 23 B) F(a,y, z) = (-y' + -3x y, 2x 23 C) F(x, y,



Let



A) F(x, y, z) = (-y3. - 3ry 2:r -2 23 B) F(a,y, z) = (-y' + -3x y, 2x 23 C) F(x, y, z) = (-y' + , -3xy2, 3 D) F(x, y, z ) = (-+ 2 1 -3ry
Step by Step Solution
There are 3 Steps involved in it
1 Expert Approved Answer
Step: 1 Unlock
Question Has Been Solved by an Expert!
Get step-by-step solutions from verified subject matter experts
Step: 2 Unlock
Step: 3 Unlock
