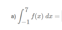
Question: Let f(x)f(x) be an integrable function such that: fa) f(x) dx = a)



Let f(x)f(x) be an integrable function such that:




\fa) f(x) dx =
a)
Step by Step Solution
There are 3 Steps involved in it
Get step-by-step solutions from verified subject matter experts
