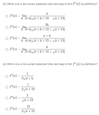
Question: Let f(z) = VI + 13 . We will use the definition of derivative to find the derivative of f (I). () What is the




Let f(z) = VI + 13 . We will use the definition of derivative to find the derivative of f (I). () What is the definition of derivative of f (=) ? Of'(z) = lim f(Ith)-f(z) h Of (z) = lim f(eth) f(x h) h wl h Of (z) = lim f(=42 h)-f(Ith) h w 2 h Of(z) _ f(ith)-f(z) h (i) Which one is the correct statement (the next step to find f(x) by definition)? Of' (z) = lim With+13-IF13 h +0 h Of (z) = lim h Of(=) = lim h 0 h(i) Which one is the correct statement (the next step to find f (x) by definition)? of(:) = lim h 2h Of(I) = lim Of'(x) = lim h Of(=) = lim (iv) Which one is the correct statement (the next step to find f (x) by definition)? 1 of (I) = 1 of (I) = 2 /2 13 Of'(I) 2 VI + 13 13 Of'(I) = 2/1 + 13
Step by Step Solution
There are 3 Steps involved in it
Get step-by-step solutions from verified subject matter experts
