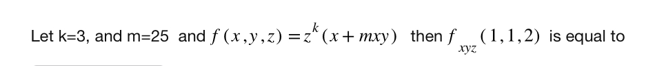
Question: Let k = 3 , and m = 2 5 and f ( x , y , z ) = z k ( x +
Let and and then is equal to
Step by Step Solution
There are 3 Steps involved in it
1 Expert Approved Answer
Step: 1 Unlock
Question Has Been Solved by an Expert!
Get step-by-step solutions from verified subject matter experts
Step: 2 Unlock
Step: 3 Unlock
