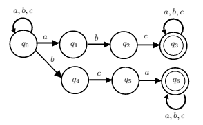
Question: Let M be the NFA defined by the following transition diagram: Let L = {w | w = xzy,x,y ,z {abc,bca}}. Prove that L(M) =
Let M be the NFA defined by the following transition diagram:

Let L = {w | w = xzy,x,y ,z {abc,bca}}. Prove that L(M) = L. You do not need to prove that q0 (q0,v), for all v and that q3 (q3,v) for all v and that q6 (q6,v) for all v . Just take that as fact.
Step by Step Solution
There are 3 Steps involved in it
Get step-by-step solutions from verified subject matter experts
