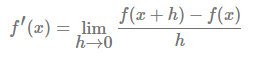
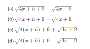
Question: Let the function ff(x th) - f(x) f' (x) = lim h-0 hfc th f(I h5+ 4xth+9- 41+9 (a) h 5+ (b) V 4(xth) +9-,/4x+9












Let the function












\ff(x th) - f(x) f' (x) = lim h-0 hfc th f(I h5+ 4xth+9- 41+9 (a) h 5+ (b) V 4(xth) +9-,/4x+9 h 4(xth)+9 (c) 1 h 4xth+9 (d) V h(a) 4x th+9+4x -9 (b) 4x + h+9 -4x +9 (c) 4(Ith) +9+ 4x + 9 (d) 4(xth) +9- 4x - 9- f(xf(x th) - f(I f () lim h-0 hlir
Step by Step Solution
There are 3 Steps involved in it
Get step-by-step solutions from verified subject matter experts
