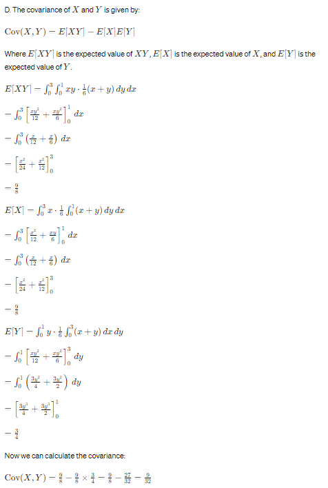
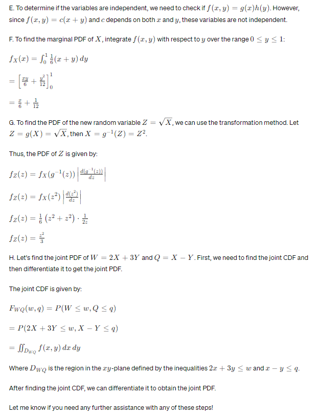
Question: Let X and Y be random variables with joint PDF (x, y) = c(x + y) for 0 S = $ 3 and 0 Sys





Step by Step Solution
There are 3 Steps involved in it
Get step-by-step solutions from verified subject matter experts
