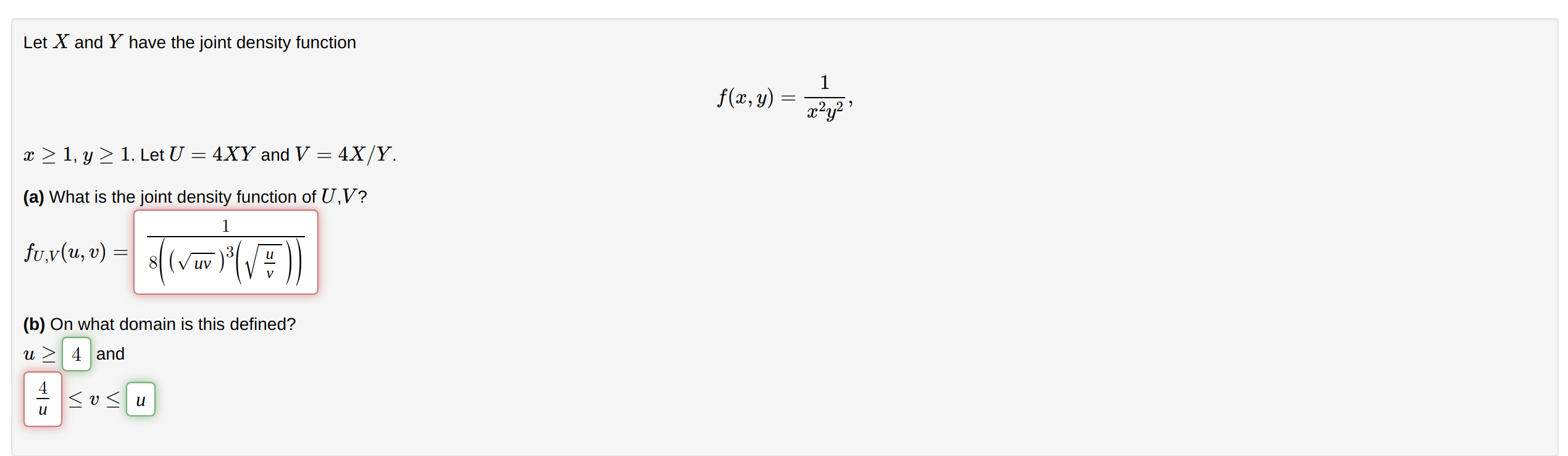
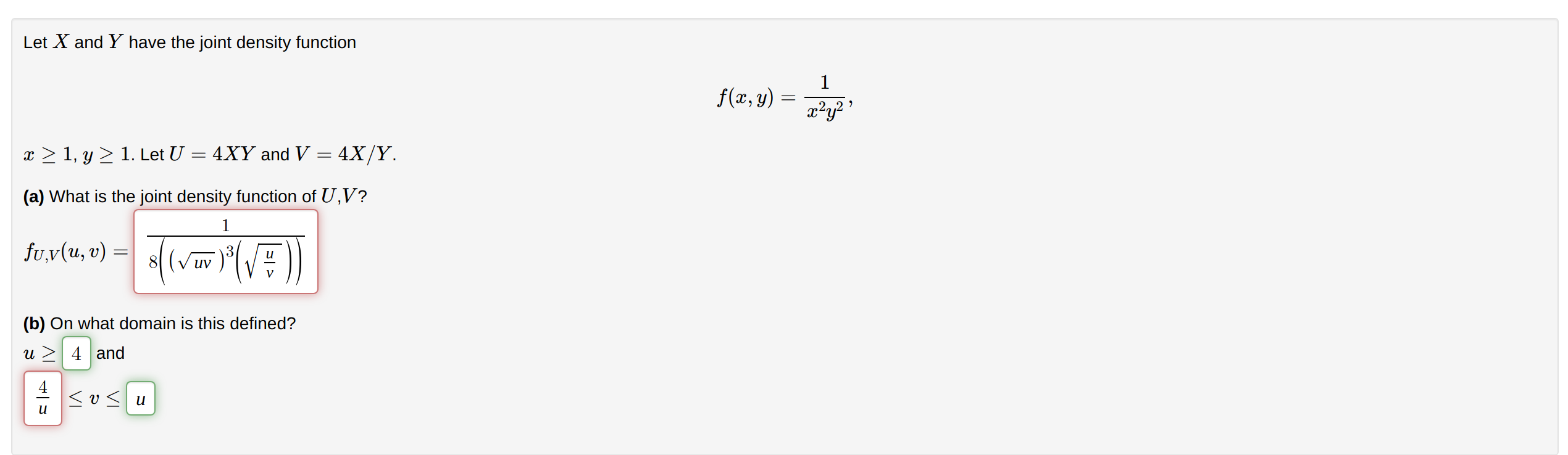
Question: Let X and Y have the joint density function 1 f(x, y) = 2 27 / 2 ' x 2 1, y _ 1. Let


Let X and Y have the joint density function 1 f(x, y) = 2 27 / 2 ' x 2 1, y _ 1. Let U = 4XY and V = 4X/Y. (a) What is the joint density function of U,V? fu,v (u, v) = 8 ( Vur ) 3 Vu (b) On what domain is this defined? u > 4 and Sus u
Step by Step Solution
There are 3 Steps involved in it
Get step-by-step solutions from verified subject matter experts
