Question: Let X be a non-negative random variable (i.e., P(X 2 0) = 1). Show that for any constant a > 0, P ( X Z




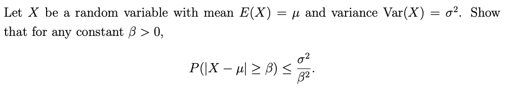
Let X be a non-negative random variable (i.e., P(X 2 0) = 1). Show that for any constant a > 0, P ( X Z Q ) S E(X) For simplicity, assume that random variable X is continuous (with a pdf).Let X be a random variable with mean E(X) = p, and variance Var(X) = {72. Show that for any constant > 0, 2 FOXpl 2 B) s g
Step by Step Solution
There are 3 Steps involved in it
Get step-by-step solutions from verified subject matter experts
