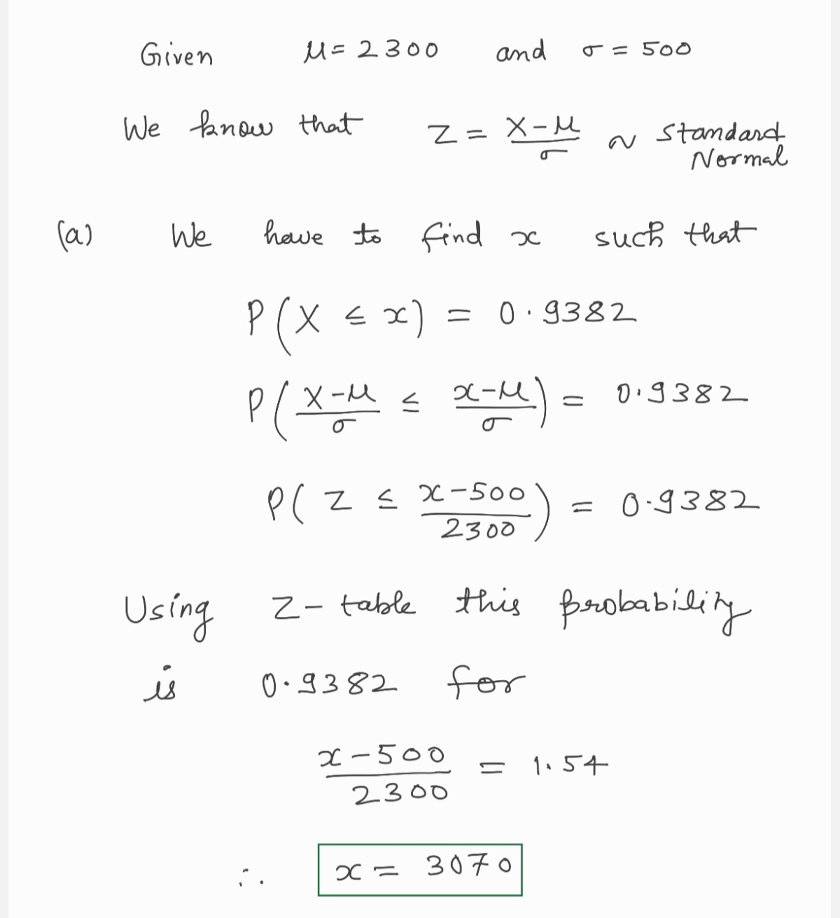
Question: Let X be normally distributed with mean u = 2,300 and standard deviation o= 500. a. Find x such that AX = x) = 0.9382.





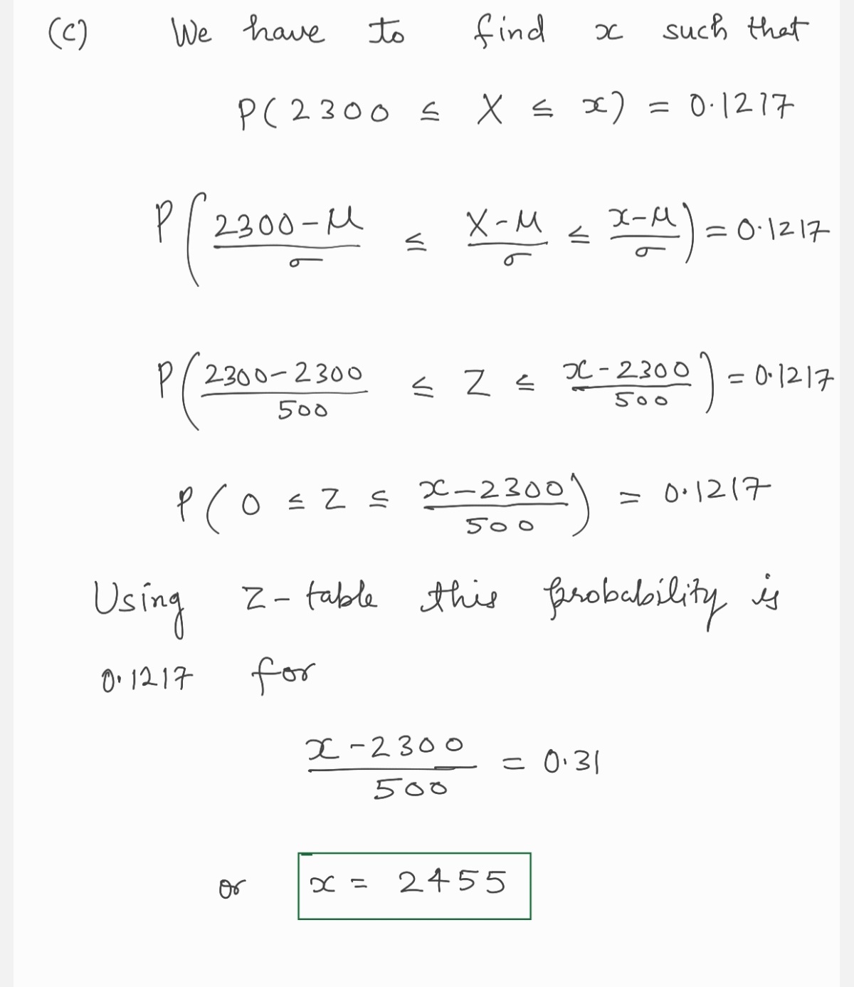
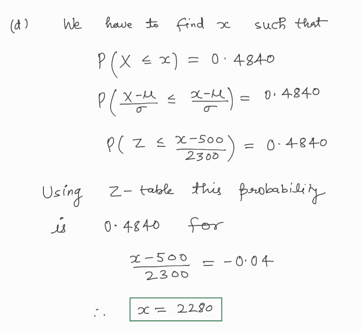
Let X be normally distributed with mean u = 2,300 and standard deviation o= 500. a. Find x such that AX = x) = 0.9382. Note: Round your final answer to nearest whole number. x b. Find x such that AX> x) = 0.025. Note: Round your final answer to nearest whole number. ~ c. Find x such that A2,300 = X 2 - 2300 = 0.025 500 Using z- table this probability is 0 .025 for DC - 2300 1.96 500 X = 3280( C ) We have to find ac such that P ( 2 3 0 0 5 X S x ) = 0 . 1217 2300 - M X - M
Step by Step Solution
There are 3 Steps involved in it
Get step-by-step solutions from verified subject matter experts
