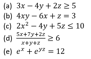
Question: Let x, y, and z be decision variables. Please identify all the non-linear equations from the following expressions. (a) 3x 4y + 2z > 5
Let x, y, and z be decision variables. Please identify all the non-linear equations from the following expressions.

(a) 3x 4y + 2z > 5 (b) 4xy 6x + z = 3 (c) 2x2 4y + 5z = 10 5x+7y+22 (d) 26 x+y+z (e) ex + ey2 = 12
Step by Step Solution
There are 3 Steps involved in it
1 Expert Approved Answer
Step: 1 Unlock
Question Has Been Solved by an Expert!
Get step-by-step solutions from verified subject matter experts
Step: 2 Unlock
Step: 3 Unlock
