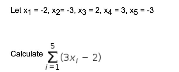
Question: Let x1 = -2, X2= -3, X3 = 2, X4 = 3, X5 = -3 5 Calculate Z (3x; - 2) i=1

Let x1 = -2, X2= -3, X3 = 2, X4 = 3, X5 = -3 5 Calculate Z (3x; - 2) i=1
Step by Step Solution
There are 3 Steps involved in it
1 Expert Approved Answer
Step: 1 Unlock
Question Has Been Solved by an Expert!
Get step-by-step solutions from verified subject matter experts
Step: 2 Unlock
Step: 3 Unlock
