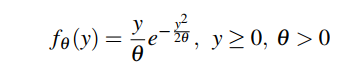
Question: Let Y1,...,Yn be a random sample from a distribution with the density function f
Let Y1,...,Yn be a random sample from a distribution with the density function

\f
Step by Step Solution
There are 3 Steps involved in it
Get step-by-step solutions from verified subject matter experts
