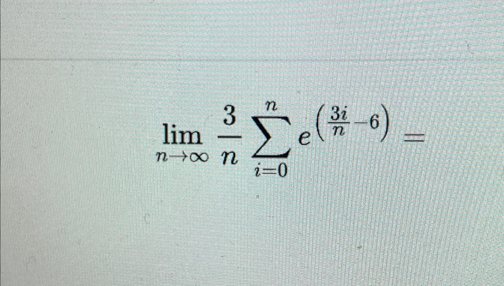
Question: lim 3 nx n M i=0 e (3/4-6)
lim 3 nx n M i=0 e (3/4-6)
Step by Step Solution
There are 3 Steps involved in it
Get step-by-step solutions from verified subject matter experts
