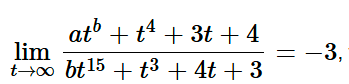
Question: lim _ ( t - > infty ) ( at ^ ( b ) + t ^ ( 4 ) + 3 t
limtinfty atbttbttt
Step by Step Solution
There are 3 Steps involved in it
1 Expert Approved Answer
Step: 1 Unlock
Question Has Been Solved by an Expert!
Get step-by-step solutions from verified subject matter experts
Step: 2 Unlock
Step: 3 Unlock
