Question: (Link to easement form that needs to be used for paper) https://1drv.ms/w/s!AjN-byRK6G0bk1r42bXjWRfPakkH?e=ls8wjc Draft an Easement Sometimes, it becomes necessary to use a piece of land




(Link to easement form that needs to be used for paper) https://1drv.ms/w/s!AjN-byRK6G0bk1r42bXjWRfPakkH?e=ls8wjc
Draft an Easement
Sometimes, it becomes necessary to use a piece of land that belongs to someone else. For example, someone may need to run pipes through his neighbor's yard, or share a driveway with his neighbor if his property is landlocked. This type of "ownership interest" is often created with the use of an easement, and clients may come to your law firm for help drafting an easement. you will draft an easement for a new client who needs access to his neighbor's property because his land is landlocked.
Scenario
Mike Smith has come to your law firm for assistance with an easement across his new neighbor's property. Mike has split his lot and sold one of the lots to Brian, but requires an easement over the lot being sold to Brian to allow for access to the lot being retained by Mike. Review Exhibit 5-2 and "the reverse situation" discussed in reference to Exhibit 5-2 for clarification.
Instructions: 1. Review the scenario. 2. Draft a written easement agreement for Mike in a new document utilizing the form available on in the screenshot provided. Be sure the following items are represented in your easement:
? Easement construction parameters: Asphalt with concrete curbs
? limitations or restrictions on the easement that are necessary to protect Brian: ? no transport or parking of vehicles with more than 4 axles and/or vehicles weighing no more than 10,000 lbs ? parking restrictions including no overnight parking in the easement
? Limitations or restrictions to protect Mike: ? Access to the easement will remain unrestricted at all times
? Construction and maintenance to be done and paid for by Mike
? Easement will be perpetual and nonexclusive
? Fee to be paid by Mike to Brian for the easement is $5000.00
? Affidavits of Value: You do not need to Draft an Affidavit of value. However, you should read A.R.S. 11-1133 and 1134 and pick the appropriate exemption to place on the deed in the appropriate place. Here is a handy list: Exemptions




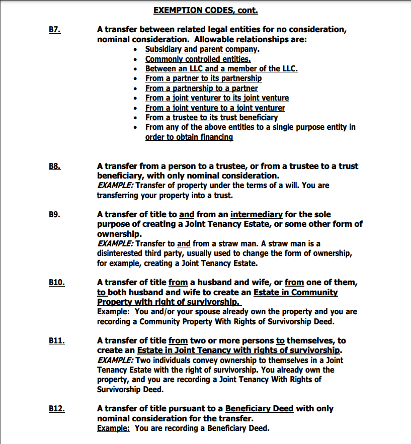
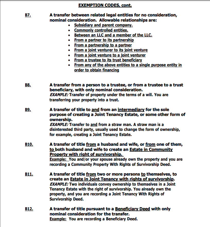
EXEMPTION CODES Under SECTION B, the Affidavit does not apply to the following transfers of title: B1. A transfer solely in order to provide or release security for a debt or obligation, including a trustee's deed pursuant to power of sale under a deed of trust. EXAMPLE: Party #1 transfers title to party #2 to provide security for a loan from party #2. EXAMPLE: Party A transfers title to Party B to gain release from a debt owed to Party B. B2. A transfer that confirms or corrects a deed previously recorded. EXAMPLE: name on the original deed was misspelled. B3. A transfer of residential property between relatives, with no money or nominal consideration changing hands. Relationship limited to husband and wife or ancestors of either, parent and child or descendants of children, grandparents and grandchildren and natural or adopted siblings. B4. A transfer of title on a sale for delinquent taxes or assessments. EXAMPLE: Property sold in a Sheriff's sale. NOTE: This type of sale usually involves a Treasurer's Deed. B5. A transfer of title on partition. Partition, in this case, means a division of a property between co-owners or co-proprietors. EXAMPLE: Dividing a large parcel into smaller parcels to be distributed among the heirs of an estate so that each owns their parcel. You are doing a lot split and there are no new owners involved. NOTE: If an owner divides a parcel in such a manner that the new parcels remain in his ownership, in essence there is no transfer of title, and thus no need for an Affidavit nor an Exemption Code. Yet if the Recorder desires the B5 Exemption Code can be utilized in this situation. For instance, an owner of a 10-Acre parcel divides it into a 1-Acre parcel and a 9-Acre parcel, and he retains ownership of the two new parcels. B6. A transfer of title pursuant to a merger of corporations. EXAMPLE: Title of property owned by Corporations X and Y changing to Corporation Z, when Corporations X and Y merge to form Corporation Z.EXEMPTION CODES, cont. B7. A transfer between related legal entities for no consideration, nominal consideration. Allowable relationships are: Subsidiary and parent company. Commonly controlled entities. . . Between an LLC and a member of the LLC. From a partner to its partnership From a partnership to a partner . . From a joint venturer to its joint venture From a joint venture to a joint venturer From a trustee to its trust beneficiary From any of the above entities to a single purpose entity in order to obtain financing B8. A transfer from a person to a trustee, or from a trustee to a trust beneficiary, with only nominal consideration. EXAMPLE: Transfer of property under the terms of a will. You are transferring your property into a trust. B9. A transfer of title to and from an intermediary for the sole purpose of creating a Joint Tenancy Estate, or some other form of ownership. EXAMPLE: Transfer to and from a straw man. A straw man is a disinterested third party, usually used to change the form of ownership, for example, creating a Joint Tenancy Estate. B10. A transfer of title from a husband and wife, or from one of them, to both husband and wife to create an Estate in Community Property with right of survivorship. Example: You and/or your spouse already own the property and you are recording a Community Property With Rights of Survivorship Deed. B11. A transfer of title from two or more persons to themselves, to create an Estate in Joint Tenancy with rights of survivorship. EXAMPLE: Two individuals convey ownership to themselves in a Joint Tenancy Estate with the right of survivorship. You already own the property, and you are recording a Joint Tenancy With Rights of Survivorship Deed. B12. A transfer of title pursuant to a Beneficiary Deed with only nominal consideration for the transfer. Example: You are recording a Beneficiary Deed.EXEMPTION CODES, cont. B13. From an owner to itself or a related entity for no or nominal consideration to consolidate or split parcels. B14. Due to a name change.EXEMPTION CODES An Affidavit of Property Value is required for all title transfers and recorded contract of sales unless one of the following conditions is met. (ARS $11-1134). Under SECTION A, the affidavit does not apply to the following instruments: A1. A deed representing the payment in full of a recorded contract, or forfeiture of a recorded contract. EXAMPLE: Payoff of a recorded land contract of sale or sales agreement. A2. A lease or an easement on real property. EXAMPLE: Granting permission for the use of your real property by a utility company. A3. A sale or a conveyance involving the government, including federal, state, county or local municipality. A4. A quitclaim deed with no money changing hands, or to quiet title as described in Arizona Revised Statutes, section 12-1103, subsection B or otherwise executed for no monetary consideration. A5. A conveyance recorded to satisfy a court order. EXAMPLE: Transfer of property ordered by a court in a bankruptcy or a divorce case. You will present a certified copy of divorce to record. A6. A deed to an unpatented mining claim. EXAMPLE: In general these cases are rare. A7. A deed recorded to show transfer of real property as a gift where no money changes hands. EXAMPLE: Granting ownership of a property as a wedding present
Step by Step Solution
There are 3 Steps involved in it
Get step-by-step solutions from verified subject matter experts
