Question: Lisp Programming - Minimum Cost Path Write a program that given two nodes X and Y in the graph above will find the minimum-cost path
Lisp Programming - Minimum Cost Path

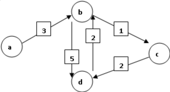
Write a program that given two nodes X and Y in the graph above will find the minimum-cost path from node X to node Y and display the found path and its cost. All data about the graph should be declared in the program.
Example: the minimum path between a and d is [a,b,c,d] with cost = 6.
3 1 2 2 3 1 2 2
Step by Step Solution
There are 3 Steps involved in it
Get step-by-step solutions from verified subject matter experts
