Question: log [ Brainwt ] O -10 -5 0 5 10 log [ Bodywt ] Coefficient Estimates Label Estimate Std. Error t-value p-value Constant 2. 13479
![log [ Brainwt ] O -10 -5 0 5 10 log](https://s3.amazonaws.com/si.experts.images/answers/2024/07/668a34ed94a5c_549668a34ed5cc13.jpg)
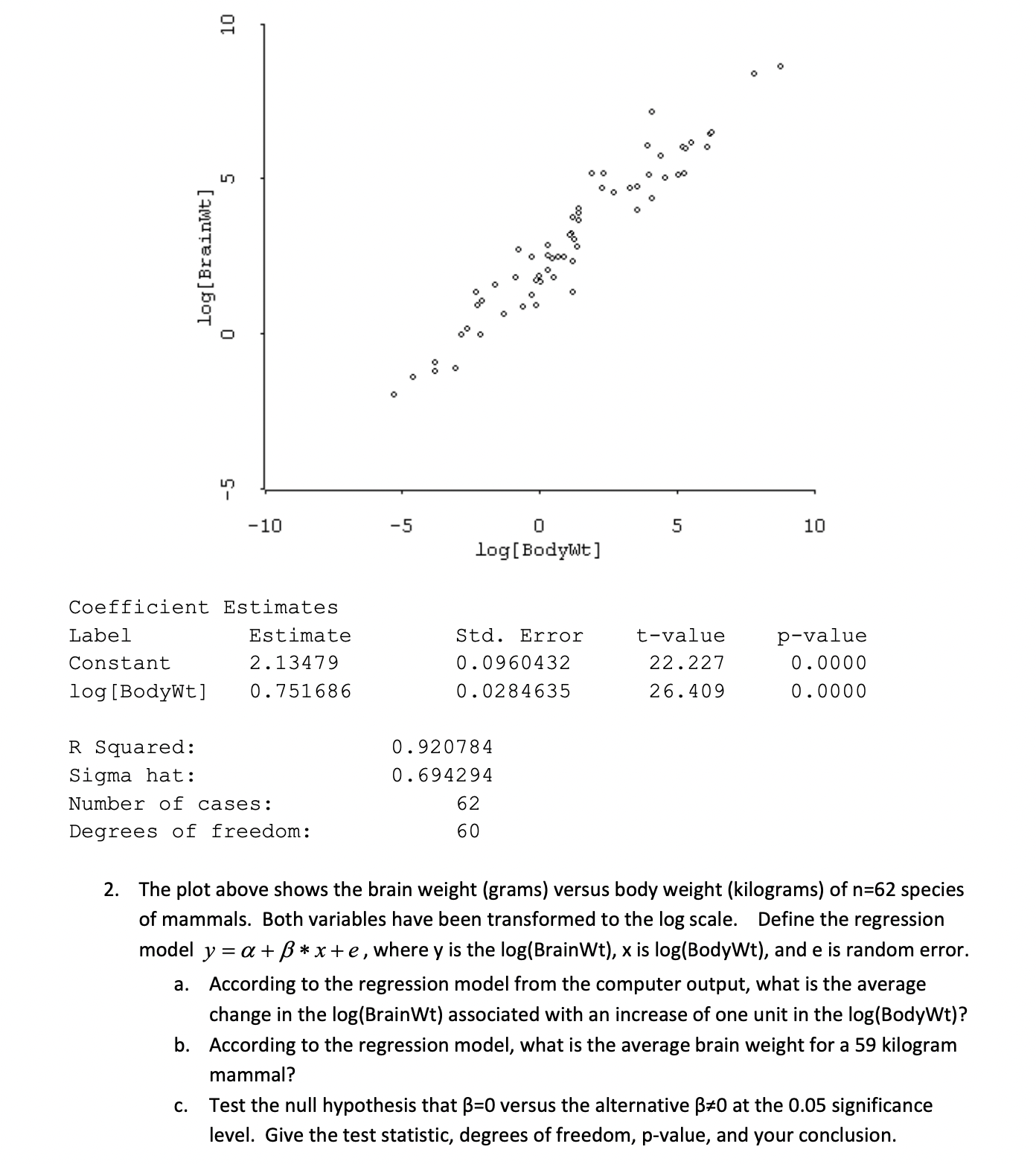
log [ Brainwt ] O -10 -5 0 5 10 log [ Bodywt ] Coefficient Estimates Label Estimate Std. Error t-value p-value Constant 2. 13479 0 . 0960432 22.227 0. 0000 log [Bodywt ] 0 . 751686 0 . 0284635 26. 409 0 . 0000 R Squared: 0 . 920784 Sigma hat: 0 . 694294 Number of cases: 62 Degrees of freedom: 60 2. The plot above shows the brain weight (grams) versus body weight (kilograms) of n=62 species of mammals. Both variables have been transformed to the log scale. Define the regression model y = a + B * x+ e, where y is the log(BrainWt), x is log(BodyWt), and e is random error. a. According to the regression model from the computer output, what is the average change in the log(BrainWt) associated with an increase of one unit in the log(BodyWt)? b. According to the regression model, what is the average brain weight for a 59 kilogram mammal? c. Test the null hypothesis that B=0 versus the alternative #0 at the 0.05 significance level. Give the test statistic, degrees of freedom, p-value, and your conclusion
Step by Step Solution
There are 3 Steps involved in it
Get step-by-step solutions from verified subject matter experts
