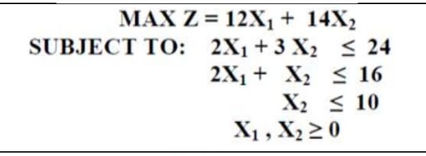
Question: lp problem by microsoft excel please MAX Z = 12X1 + 14X2 SUBJECT TO: 2X1 + 3 X2 = 24 2X1 + X2 = 16

lp problem by microsoft excel please
MAX Z = 12X1 + 14X2 SUBJECT TO: 2X1 + 3 X2 = 24 2X1 + X2 = 16 X2 = 10 X1, X220Step by Step Solution
There are 3 Steps involved in it
1 Expert Approved Answer
Step: 1 Unlock
Question Has Been Solved by an Expert!
Get step-by-step solutions from verified subject matter experts
Step: 2 Unlock
Step: 3 Unlock
