Question: machine learning 6. (extra 2 points) In logistic regression, the objective function can be written as N E(W) ). N In (1+eyword n=1 Please
machine learning 
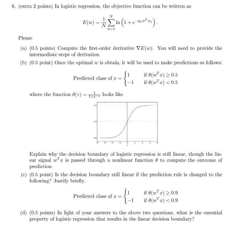
6. (extra 2 points) In logistic regression, the objective function can be written as N E(W) " ). N In (1+eyword n=1 Please (a) (0.5 points) Compute the first-order derivative VE(w). You will need to provide the intermediate steps of derivation. (b) (0.5 point) Once the optimal w is obtain, it will be used to make predictions as follows: Predicted class of 2 = if (w") > 0.5 if (w7r) 0.9 Predicted class of x = if (w?x) 0.5 if (w7r) 0.9 Predicted class of x = if (w?x)
Step by Step Solution
There are 3 Steps involved in it
Get step-by-step solutions from verified subject matter experts
