Question: Macro Economics... Derive the euler equation! {Precautionary saying) Consider a household who lives for two periods: t = 1,2. There is no uncertainty in period

Macro Economics... Derive the euler equation!

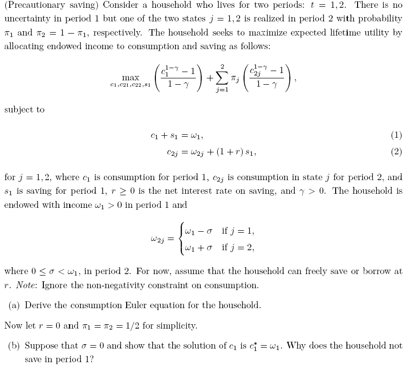
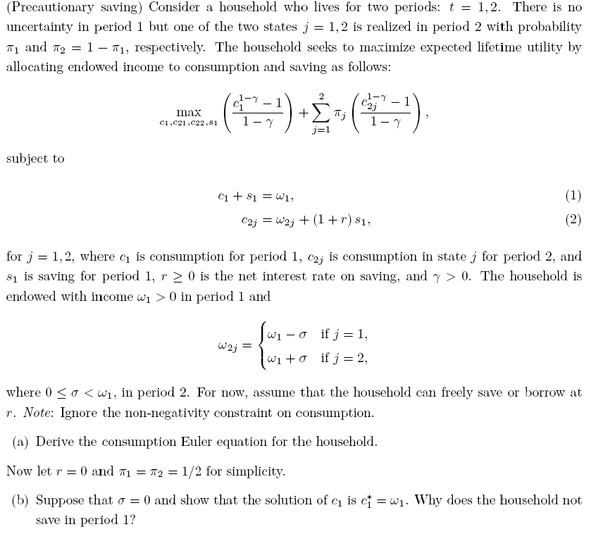
{Precautionary saying) Consider a household who lives for two periods: t = 1,2. There is no uncertainty in period 1 but one of the two states 3' : 1, 2 is realized in period 2 with probability in and g : 1 7n, respectively. The household seeks to macdrnize expected lifetime utility by allocating endowed income to consumption and saving as follows: 1-? 2 1\"! _ choldlllmsi ( 11" ) +Zj ( 1"}' 1 subject to Ci +31 =W1s {1} 023' = \"'11 + (1 + '3") 31: {2} for j = 1, 2, where c1 is consumption for period 1,, cgj is consumption in state 3' for period 2, and .91 is saving for period 1, r 2_> 0 is the net interest rate on saying, and T > U. The household is endowed with income 0J1 :> D in period 1 and wlJ iszl, {Hg-j: w1+o ifj:2, where 0 i? tr <: all in period for now assume that the household can freely save or borrow at r. note: ignore non-negativity constraint on consumption. derive consumption euler equation household. let t : u and m f simplicity. suppose show solution of c is cf on. why does not>
Step by Step Solution
There are 3 Steps involved in it
Get step-by-step solutions from verified subject matter experts
