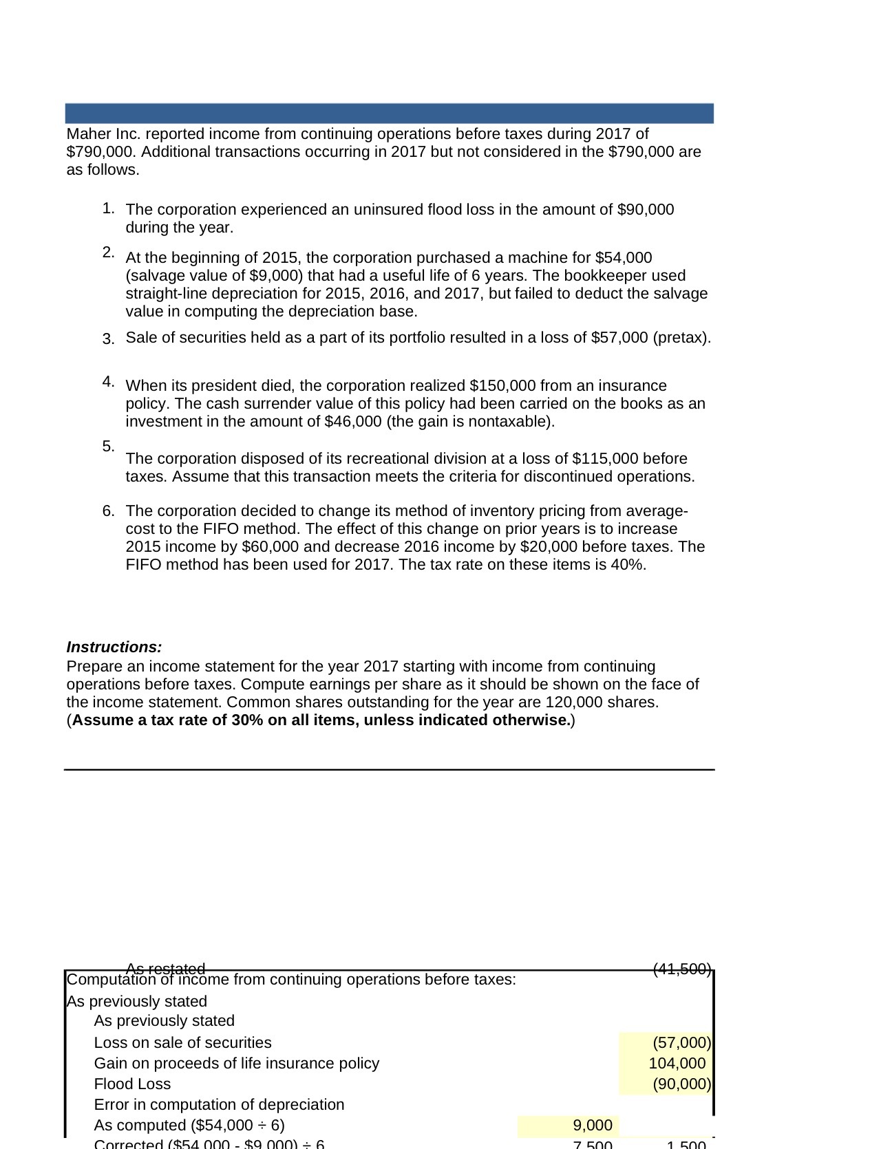
Question: Maher Inc. reported income from continuing operations before taxes during 2017 of $790,000. Additional transactions occurring in 2017 but not considered in the $790,000 are

Step by Step Solution
There are 3 Steps involved in it
1 Expert Approved Answer
Step: 1 Unlock
Question Has Been Solved by an Expert!
Get step-by-step solutions from verified subject matter experts
Step: 2 Unlock
Step: 3 Unlock
