Question: make a copy of this population frame (Aegis Data). Paste the population frame to a new sheet. Rename this new sheet to Part 2. Use
make a copy of this population frame (Aegis Data). Paste the population frame to a new
sheet. Rename this new sheet to Part 2. Use Part 2 sheet to answer this question.
Is there any indication that GENDER and Q4 (Aegis Inc. company practices favor men) variable are related. Is the pattern about the same? Discuss your findings. Specifically, do the genders tend to differ in their opinions about Q4?












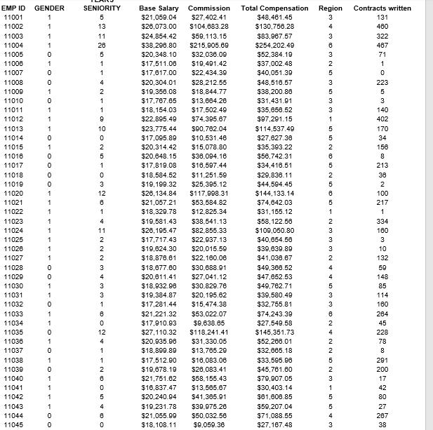
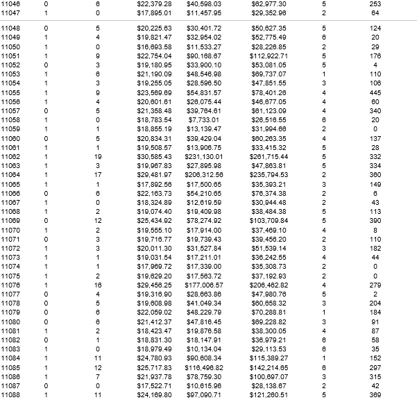
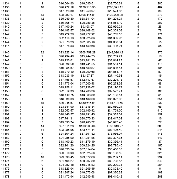
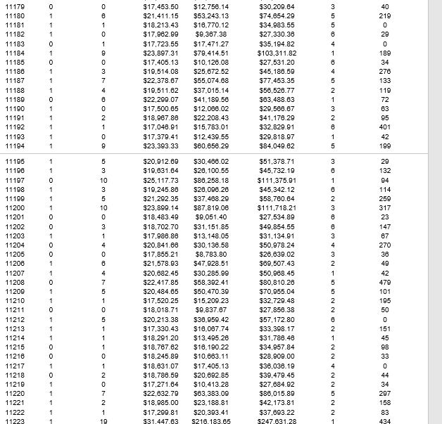
EMP ID GENDER SENIORITY Base Salary Commission Total Compensation Region Contracts written 11001 5 $21,050.04 $27.402.41 $48,461.45 131 11002 13 $26,073.00 $104,683.28 $130,756.28 480 11003 11 $24,854.42 $50.113.15 $83,087.57 322 11004 26 $38,296.80 $215,905.69 $254,202.49 487 11005 5 $20,348.10 $32.036.09 $52,384.19 71 11008 $17,511.08 $10.491.42 $37,002.48 1 11007 $17,617.00 $22.434.39 $40,051.39 0 11008 $20,304.01 628.212.55 $48,516.57 223 11009 $19,356.08 618.844.77 $38,200.86 11010 $17,787.85 613.864.26 $31,431.91 11011 $18, 154.03 $17.502.49 $35,656.52 140 11012 $22.895.49 674.305.67 $97,291.15 402 11013 10 $23,775.44 $90.762.04 $114,537.49 170 11014 $17,095.80 $10.531.46 $27,627.36 34 11015 $20,314.42 $15,078.80 $35,393.22 156 11016 $20.648.15 $36.094.16 $56,742.31 11017 213 DAWOGNO? $17,819.08 $16.507.44 $34,416.51 11018 $18,584.52 $11.251.59 $29,836.11 11019 $19.190.32 $25.395.12 $44,594.45 11020 $26, 134.84 $117,898.31 $144,133.14 100 11021 $21,057.21 $53.584.82 $74,642.03 217 11022 $18,320.78 $12.825.34 $31, 155.12 11023 $19,581.43 638.541.13 $58, 122.56 W AGGAWNG N NA NOWNGA A NOW ON - GOGN GONGO A GO GO ON OOD AD 334 11024 $26, 195.47 $82.855.33 $109,050.80 180 11025 ONNNEA- $17,717.43 $22.937.13 $40,654.56 11026 $19,624.30 $20.015.59 $39,630.80 10 11027 $18,876.61 $22. 160.06 $41,036.87 132 11028 $18,677.80 $30.688.91 $49,386.52 11029 $20,611.41 $27.041.12 $47,652.53 148 11030 $18,032.96 $30.829.76 $49,762.71 85 11031 $19,384.87 $20.195.62 $30,580.40 114 11032 $17,281.44 $15.474.38 $32,755.81 180 11033 $21,221.32 $53.022.07 374.243.30 284 11034 $17,010.93 39.638.65 $27.540.58 45 11035 $27,110.32 $118,241.41 $145,351.73 228 11036 $20,035.96 $31.330.05 $52,268.01 78 11037 $18,890.89 $13.765.29 $32,685.18 11038 $17,512.90 $16.083.06 $33,595.96 201 11039 $19.678.19 $26.083.41 $45,781.80 200 11040 $21,751.62 $58. 155.43 $79,907.05 11041 DOAGOON- - $16,837.47 $13.565.67 $30,403.14 11042 $20,240.94 $41.365.91 $61,606.85 11043 $19,231.78 $30.975.26 $59,207.04 11044 $21,055.90 $50,032.56 $71,088.55 11045 $18, 108 11 $9.059.36 $27, 167.4811408 10 $24.183.27 $93.851.36 $118,034.63 5 263 11407 4 $21,357.26 $26.586.76 $47,044.02 11408 8 $22,008.36 $48.708.03 $70,714.39 15 5) Create a copy of this population frame (Aegis Data). Paste the population frame to a new sheet. Rename this new sheet to Part 5. Use Part 5 sheet to answer this part of the question11046 $22.379 28 $40.508.03 $62,077.30 253 NO 11047 $17,895.01 $11.457.95 $29,352.96 84 11048 $20,225.83 $30.401.72 $50,627.35 124 11049 $19,821.47 $32.954.02 $52,775.40 11050 $16,693.58 $11.533.27 $28,226.85 20 NOWDOSO 11051 $22,754.04 590.168.67 $1 12.922.71 176 AWAGONOO 11052 $19, 180.95 $33.900.10 $53,081.05 11053 $21, 190.08 $48.546.98 $69,737.07 110 11054 $19,255.05 $28.506.50 $47.851.55 106 11055 $23,580.80 $54.831.57 $78,401.26 445 11058 $20,601.81 $26.075.44 $46.677.05 80 11057 $21,358.48 $30.764.61 $81,123.09 340 11058 $18,783.54 $7.733.01 $26.516.55 20 11059 $18,855.19 $13.139.47 $31,094.86 1 1060 $20,834.31 $30.429.04 $60,263.35 137 11061 $19,508.57 $13.906.75 433,415.32 28 11062 $30,585.43 $231,130.01 $261,715.44 337 11063 $19,067.83 $27.895.98 $47,863.81 334 11064 $29,481.97 $206,312.56 $235,794.53 360 11065 $17,892.56 $17.500.65 $35,393.21 149 11068 $22, 163.73 $54.210.65 $76,374.38 11067 $18,324.89 $12.619.59 $30,044.48 43 11068 $19,074.40 $10.409.98 $38,484.38 113 11069 $25,434.92 $78.274.92 $103,709.84 390 11070 LWONAN $19,555.10 $17.914.00 $37,480.10 1 1071 $19,716.77 $19.739.43 $39,456.20 110 11072 $20,011.30 $31.527.84 $51,530.14 INWOODAWANGANNAGNAGONNONGOOANDA 182 11073 $19,031.54 $17.211.01 $36,242.55 44 11074 $17,080.72 $17 339.00 $35,308.73 11075 $19,620.20 $17.563.72 $37,192.93 0 11078 $29,456.25 $177.006.57 $208,482.82 279 11077 $19,316.90 $28.663.86 $47,980.76 2 1040600-- 11078 $19,608.98 $41.049.34 $60,658.32 20 11079 $22,050.02 $48.229.79 $70,288.81 184 11080 $21,412.37 $47.816.45 $69,228.82 91 11081 $18,423.47 $10.876.58 $38,300.05 11082 $18.831.30 $18.147.91 $36,979.21 11083 $18,070.40 $10.134.04 $29.113.53 35 11084 $24,780.93 $90.608.34 $1 15,389.27 152 11085 $25,717.83 $116,498.82 $142,214.85 297 11086 $21,037.78 $78.759.30 $100,697.07 315 11087 $17,522.71 $10.615.96 $28,138.67 42 11088 11 $24. 180.80 $97.090.71 $121,260.51 38911089 $17,202 43 $10.957.66 $28, 160.09 11090 $19,094.16 $18. 139.95 $38, 134.12 11091 $16,485.98 $11.947.22 $28,433.20 11092 $18,730.44 $18.226.91 $36,966.36 20 0040-0 OSSONONO 11093 $21,643.85 $54.807.08 $76,450.92 11094 $18,788.43 $14.372.76 $33, 181.19 11095 $18, 165.06 $14.285.59 $32,430.85 11098 $23.808.68 $73.148.92 $96,055.50 11097 $26,347.33 $114,320.51 $140.687.84 189 11098 $22,416.02 $40.509.25 $63,015.27 204 11098 $20,332.18 $20.199.68 $49,531.85 11100 $17.148.55 $11.610.43 $28,758.98 11101 $20,686.73 $20.200.29 $49.887.02 11102 $21,733.25 682.474.98 $84,208.22 221 11103 $19,711.25 $32.546.18 $52,257.43 11104 $16,637.23 $12.460.38 $29,097.81 CANGO 11105 $20,024.17 $15.123.50 $35, 147.67 MRRAO-NWONOWWOOOR 11108 $17,207.95 $9.151.83 $26,350.79 11107 $20,970.86 $25.268.98 $46,230.84 113 11108 $17,016.45 $19.503.07 $37.509.51 11109 $17,475.55 $16.923.20 $34.398.76 111 10 $17, 171.21 $9.311.65 $26,482.86 11111 $19,206.06 $28.204.59 $47,410.86 11112 $27,439.15 $146,558.70 $173.905.85 369 11113 $26,480.21 $119,027.08 $145,507.27 11114 $18,506.14 $14.075.16 $32,581.30 256 11115 $18,031.56 $10.947.25 $28,978.81 11116 $22.243.95 $48.988.50 $71,232.45 OWO - 11117 $18,317.53 $26.541.44 $44.858.98 11118 $18, 114.24 $10.119.35 $28,233.50 11119 $17,720.87 $14.980.00 $32,680.87 11120 $20, 107.44 $34.909.28 $55, 106.72 11121 $25,219.38 $61.375.79 $86,595.17 ANGA- 11122 $19, 196.87 $19.860.05 $39,056.92 109 11123 $20,594.27 $33.740.89 $54,335.16 11124 $18,234.26 $15.565.61 $33,798.87 11125 $17,484.73 623. 158.20 $40,642.93 311 11128 $17,936.04 $21.643.85 $39.579.89 11127 $20,815.32 $20. 172.11 $49,987.43 38 11128 $18,315.70 $15.384.36 $33,700.06 30 NGNOG- ANN- 11129 $28.623.45 $185,159.99 $213,783.44 378 11130 $22,570.34 $40.601.47 $72.171.80 ASNO 11131 $18,258.13 $15.771.38 $34,020.51 254 11132 $27,908.38 $187.009.31 $194.915.69 158 11133 $18,748.02 $19.762.07 $38,510.09 711134 $16,684.80 $16.085.51 $32,750.31 200 11135 $28,472.19 $178,218.95 $208,691.15 489 11138 $17,323.80 $11.250.97 $28.574.86 34 11137 $25,883.17 $106,146.81 $132.029.08 277 11138 $25,949.30 $68.341.94 304.291.24 170 11139 $19,705.74 $26.358.35 $46,084.10 293 DONANGONROAD 11140 $17,490.24 39. 168.97 $26,650.21 28 11141 $20, 192.57 $28.168.52 $46,381.08 78 11142 $19.020.26 $26.772.92 $46,702.18 171 11143 $22,114.13 $50.225.83 $81,330.96 437 11144 $21,673.23 $72.365.10 $94.038.34 15 11145 $17,276.53 $13. 159.68 $30,436.21 55 11148 $33,022.14 $208,758.28 $242.680.42 375 11147 $20,494.46 $15.244.75 $35,730.21 16 11148 $19,233.01 $13.781.23 $33,014.23 47 11149 TANOSN $20,630.59 $40.941.55 $61,581.14 118 10420004 11150 $19,255.67 $16.430.87 $35,686.54 134 11151 $18,870.49 $35.980.68 $54.861.17 87 11152 $18.983.16 $8. 157.37 $27.140.53 15 11153 $17,456.57 $12.747.57 $30,204.13 169 11154 $21,773.04 $47.500.48 $69,273.52 48 11155 $19,258.11 $12.938.62 $32. 198.72 0 TONOWGO-AOGNNGNOGONG 11158 a - $22,619.33 $44.908.38 $87,527.71 198 11157 $18, 140.75 $10.988.89 $29. 138.64 51 11158 $18,838.03 $16.189.00 $35,027.03 354 11159 $30,845.87 $150,845.91 $181,491.59 237 11160 $23,341.90 $57.318.34 $80,680.24 11161 $22,552.57 $62.189.42 $84,751.90 412 11162 $18, 140.57 $16.191.45 $34,332.01 159 11163 $17,741.31 $20.676.33 $38,417.63 16 11164 $19,893.74 $20.983.72 $40,877.46 27 11165 $27.611.23 $106,208.04 $133,819.27 303 11168 $23,855.05 $73.571.44 $97,426.49 244 11167 $21,594.24 $57.301.82 $78,986.07 115 11168 $21,055.90 $47.281.86 $68,337.85 148 11169 $18,490.23 $11.876.19 $30,368.41 37 11170 $22.861.20 $60.924.25 392,785.45 155 11171 $20.835.54 $37.614.64 $58,450.18 79 11172 $23.810.96 $62 325.56 $86, 136.52 325 11173 $23,698.45 $73.572.66 $07,280.11 234 11174 $21,498.27 $30.297.39 $60,793.65 349 11175 $24.282.48 $68.016.83 $90,290.31 284 11178 $18,323.04 $21.505.45 $39.828.49 11177 $21,297.24 $46.073.08 $67,370.32 193 11178 $21,172.94 $42.246.48 $63,419.42 20311179 $17,453.50 $12.756.14 $30,200.84 40 11180 $21,411.15 $53.243.13 $74,654.29 219 11181 $18,213.43 $16.770.12 $34.083.55 11182 $17,062.90 $9.367.38 $27.330.36 O 11183 $17,723.55 $17.471.27 $35, 194.82 11184 $23.897.31 $79 414.51 $103,311.82 189 11185 $17,405.13 $10, 126.08 $27,531.20 34 11186 $19,514.08 $25.872.52 $45, 186.50 276 11187 $22.378.87 $55.074.68 $77,453.35 133 11188 $19,511.82 $37.015.14 $56,526.77 119 11189 $22,290.07 $41.189.56 $63,488.63 72 11190 $17,500.85 $12.086.02 $29,586.87 63 11191 $18,967.86 $22.208.43 $41,176.29 11192 $17,046.91 $15.783.01 $32,820.91 401 11193 $17.379.41 $12.439.55 $29.818.97 12 11194 $23,393.33 $60.656.29 484.040.62 199 11195 $20,012.80 $30.466.02 $51,378.71 11198 $19,631.84 $26.100.55 $45,732.19 132 11197 $25, 117.73 $86.258.18 $111,375.01 94 11198 $19,245.86 $26.096.26 $45,342.12 114 11199 $21,292.35 $37.468.29 $58,760.64 259 11200 $23,890.14 $87.819.06 $1 11,718.21 317 11201 $18,483.40 $9.051.40 $27,534.80 23 11202 $18,702.70 $31.151.85 $49,854.55 147 11203 $17,086.86 $13.148. $31,134.91 67 11204 $20.841.86 $30. 136.58 $50,978.24 270 11205 $17,855.21 $8.783.80 $26,630.02 36 11208 $21,578.93 $47.928.51 $69,507.43 49 11207 $20,682.45 $30.285.99 $50,068.45 42 11208 $22,417.85 658.392.41 $80,810.26 179 N N O N N A N N - NONNO GANGA DO DONO - OW 11209 $20,484.65 $50.470.39 470,055.04 101 11210 $17,520.25 $15.209.23 $32,720.48 195 11211 $18,018.71 $9.837.67 $27.856.38 11212 $20,213.38 $36.959.42 $57, 172.80 11213 $17.330.43 $16.087.74 $33,398.17 151 11214 $18,291.20 $13.495.26 $31,786.46 45 11215 $18,767.62 $16.190.22 $34.857.84 98 11216 $18,245.89 $10.863.11 $28,909.00 33 11217 $18,631.07 $17.405.13 $36,038.19 0 11218 IN - $18,786.50 $20.602.85 $39,479.45 44 11219 $17,271.84 $10.413.28 $27,684.92 34 11220 $22,632.79 $63.383.09 $86.015.80 297 11221 $18,085.00 $23.188.81 $42,173.81 158 11222 $17,290.81 $20.303.41 $37,693.22 23 11223 331.447 83 $216 183 65 $247 631.28 43411224 $18,520.84 $11.849.00 $30,160.85 40 11225 $18, 173.84 $17.522.09 $35,695.73 126 11226 $18,424.08 $14.719.96 $33, 144.05 11227 $16,857.68 $11.792.30 $28.649.98 11228 $22,435.62 $40.331.41 $71,767.03 316 11229 $18.238.54 $8,900.15 $27.138.80 113 11230 $18,087.28 $7.863.44 $25,950.73 W O - 11231 $23,755.85 $76.577.48 $100,333.33 441 11232 $18,801.91 $20.970.26 $39,772.17 11233 $17,141.82 $11.638.59 $28,780.41 50 11234 $24,301.46 $74.311.16 $08,612.62 11235 $18,043.81 $23.714.21 $41,758.02 11236 $19,009.49 $17.530.05 $36,530.54 11237 $19,777.30 $20.542.83 $40,320.22 11238 $17,486.98 $12.206.26 $29,783.24 50 11239 $19,343.23 $36.507.51 $55,850.74 73 11240 $19,323.83 $24.212.66 $43,536.20 72 11241 $20.060.64 $27.967.61 $48,937 25 225 11242 $18,435.72 $15.202.49 $33,638 21 101 11243 $20,509.14 $22.863.03 $43,372.18 291 11244 $20,323.00 $54,288.82 O $33.985.62 272 11245 $19,494.49 $24.565.99 $44,060.48 3.8 11248 $22.300.20 $82.457.30 $104,757.58 408 11247 $20.810.43 $34. 140.14 $54,050.57 75 11248 $17,031.75 $10.405.92 $28,337.68 80 11249 $20,057.23 $34.828.43 $54,885.68 112 11250 $18.619.42 $15.929.97 $34.540.30 219 11251 $20.623.86 $43.728.89 $64,352.65 274 11252 $16,263.70 $11.072.17 $27.335.87 82 11253 $25. 188.76 597.336.27 $122.525.03 209 11254 $23,056.54 $65.300.38 $88,356.91 289 11255 $17,171.82 $8.453.75 $25,625.57 22 11258 $26,313.04 $109,555.18 $135,868.22 314 11257 $23,017.36 $40.115.25 $72, 132.81 386 AWARDOWN-GN-NGONNNWNO-. 11258 $18,866.82 $18.007.07 $36,873.80 0 11259 $24,728.26 $80. 133.79 $1 13,862.05 248 11260 $19,716.15 $17.355.52 $37,071.68 11261 $19,602 26 $23.045.52 $42,647.78 194 11262 $17,582.71 $11.350.79 $28,033.49 50 11263 $20,355.45 $41.515.33 $61,870.78 398 11264 $16,946.48 $17.640.89 $34,587.37 11 11265 $19,025.41 $20.445.23 $48,470.85 29 11268 $18,023.60 $13.304.81 $31,328.41 182 11267 $17,508.01 $10.928.26 $28,436.27 56 11268 $20,741.84 $57.389.99 $78, 131.83 234 11269 $19,868.02 $25.405.53 $45,273.56 8211270 $19,485.70 $24.253.08 $43,718.78 97 11271 $25,020.09 398.958.38 $124,887.48 233 11272 $21,560.56 $52.536.48 $74,097.03 352 11273 $21,427.68 $40.461.23 $70,888.90 159 11274 $24,554.36 $60.929.77 $94,484.13 324 11275 $22,844.86 $74.973.73 $97,818.30 286 11278 $16,658.06 611.873.12 $28,531.18 93 11277 $21,361.55 628.983.91 $50,325.46 25 11278 $30,413.97 $175,888.44 $208,302.41 321 11279 $16,534.97 $13.307.86 $29,842.83 8.8 11280 $26,314.87 $121,644.88 $147,959.75 251 11281 $19.016.23 $32.845.63 $51,861.87 NOGONAGANGON -DOWWOGONNO 42 11282 $18,490.83 $17.957.48 $36,448.31 3 11283 $29,144.56 $137,259.27 $168,403.83 139 11284 $27,981.09 $130,484.20 $158,465.29 483 11285 $26, 190.57 $78.668.06 $104,858.63 334 11286 $20,016.21 $24.948.71 $44.964.91 216 11287 $17.055.63 618.144.86 $36, 100.49 2 11288 $21,508.88 656.302.45 377,809.13 176 11289 $20,409.95 635.977.82 $56,387.76 308 11290 $20,793.28 642.766.37 $63,550.64 11291 $16,890.33 $25.805.42 $42,794.74 287 11292 $18, 141.18 $10.715.54 $37,856.72 34 11293 $21,616.90 $30.350.05 $60,068.95 286 11294 0 0 - $18,740.06 $12.351.37 $31,091.43 11295 $17,883.38 $18.008.91 $35,892.28 0 11298 $22,458.28 $52.071.08 $74,520.36 314 11297 $19,553.27 $34.732.90 $54,286.17 21 11298 $17,282.04 $9.585.16 $26,847.20 24 11209 $18,534.93 $17 203.68 $35.828.61 119 11300 $20,504.87 $33.771.51 $54,276.37 34 11301 $20,652.44 $32.698.67 $53,351.10 231 11302 $35,035.57 $217,798.10 $253,731.67 308 11303 $22, 152.10 $50.857.16 $82,009.26 164 DNWSWNONGNNNARODOWENON 11304 $19,837.77 $20.183.38 $39,821.14 34 11305 $22.146.58 $44.647.52 $86,794.10 186 11306 $18.873.56 $13.274.81 $32. 148.36 3 11307 $19.827.60 $21.318.68 $41, 146.28 26 11308 $22,540.32 361.467.04 $84,007.37 380 11309 $19,472.43 623.404.98 $42,967.42 11310 $26,549.40 $141,759.51 $168,308.02 188 11311 $22,475.42 $42.634.72 $65, 110.13 14 11312 $19,539.19 $24.547.01 $44,086.19 11313 $16,749.29 $14.075.16 $30,824.45 11314 $20,349.33 $37.089.04 $57,418.37 18011315 $19,290.75 $22.902.86 $42,292.81 87 11316 $18,091.58 $9.222.25 $27.313.83 11317 $21,370.73 $45.452.76 $86,823.49 11318 $19,890 24 $36.075.18 $55,974.42 11319 $19,555.10 $33.907.44 $53,462.55 244 OAAGONGOO- 11320 $20, 102.55 $31.562.74 $51,685.30 11321 $21, 157.84 $27.747.17 $48,904.80 11322 $17,181.82 $12.170.74 $29,352.36 11323 $24.122.03 $77.549.89 $101,671.92 344 11324 $19,686.55 $23.604.60 $43,271.15 44 11325 $21,937.16 $49.008.09 $70,045 25 11328 $24,497.42 $63.780.51 $88,277.92 160 11327 $22,509.71 $55.268.79 $77,778.50 11328 $21,550.76 $22.773.63 $44,324.40 11329 $17,702 12 $13.808.78 $31,510.90 11330 $20,258.08 $24.213.88 $44,471.96 $20.245.23 ONWNAONNAO- 11331 $19,204.23 $39.449.46 11332 $18.646.37 $10.720.44 $38,386.81 11333 $18,422 25 $10.482.47 $28,804.73 11334 $18,507.36 $14.518.49 $33,025.85 11335 $23,090.22 $50.120.13 $73,210.35 11338 $21,153.96 $32.183.67 $53,337.64 11337 $16,048.93 $10.756.80 $27,705.73 11338 $18,767.62 $15.375.78 $34,143.41 11339 $16,901.16 $12.129.09 $29,030.25 11340 $18,512.87 $10.384.50 $28,897.37 11341 $23,249.43 $55.091.83 $78.341.26 11342 $22,457.05 $50.526.72 $72,083.77 251 11343 $24,857.47 $82.308.50 $107,165.97 184 11344 $18, 130.16 $10.711.49 $28.841.84 11345 $19,338.95 $22.762.00 $42,100.95 327 11348 $19,022.52 $22 825.69 $42,748.21 182 11347 $22,220.86 $47.558.04 $69,787.90 DENNWONAN-N 150 11348 $17,492.09 $11.740.86 $29,232.94 56 11349 $20,417.20 $23.373.74 $43,791.03 156 11350 $19, 128.91 $18.403.26 $37,532.17 384 ONWWANWOONWOOWOO 11351 $20,552.63 641.802.91 $62,245.54 11352 $24.067.54 $51.468.69 $75,534.23 190 11353 $19, 125.23 $20.880.00 $49,005.23 344 11354 $18,913.35 $20.788.39 $39,701.74 11355 $18,177.93 $20.270.33 $38,448.25 11358 $19,711.25 $26.796.18 $46,507.43 11357 $19,085.43 $22.324.16 $41,409.50 11358 $20,752 25 $27.378.70 $48, 128.95 11359 $16,622.55 $11.477.54 $28, 100.09 7211360 $21,497.49 $45,440.52 $86,038.00 120 11361 $22,513.30 $58.882.30 $81,395.68 295 11362 $18, 190.78 $26.550.64 $44,741.41 44 11363 $18,045.20 $14.248.45 $33, 193.65 11364 $18,051.77 $9.645.39 $27.697.16 45 11365 $23,970.79 $79.070.98 $103,041.77 211 11368 $23,086.34 $43.344.43 $66,410.77 429 11367 $22.634.01 $42.972.13 $65,608.14 176 11368 $20,796.95 $57.656.97 $78,453.92 181 11369 19 $30,808.33 $177,469.47 $208.277.80 280 11370 $17,498.82 $10.489.82 $27,988.63 28 11371 $33,219.77 $168,079.63 $201,290.41 224 11372 $17,495.14 $10.428.58 $27,923.73 45 11373 $17,781.73 $14.246.00 $32,027.73 387 11374 $20,274.81 $36.125.40 $56,400.01 58 11375 $16,744.40 $10.867.03 $27.611.43 55 11378 $20,067.85 $24.971.37 $45,030.01 120 11377 $16,868.71 $10.775.17 $27.643.88 38 11378 $27,094.40 $87.860.71 $1 14,955.11 286 11379 DEANOBOWON $19,757.80 $19.422.84 $39, 180.84 370 11380 $19,432 02 $20.104.39 $39,536.41 32 11381 $27,098.07 $140,377.34 $167,475.41 NNOANGGONOOAS-NNW- - 271 11382 $25,676.81 $88.078.10 $1 13,754.91 375 11383 $20,014.90 $31.261.47 $51,276.46 283 11384 $18,832.53 $14.767.72 $33,600.25 22 11385 13 $27,090.27 $124,627.68 $152.617.93 467 11386 $17,912.76 $21.473.61 $39,386.37 129 11387 $19,443.05 $10.560.00 $39,003.04 155 11388 $20.532.42 $35.879.84 $56,412.26 103 11389 $29,023.31 $200,119.29 $229.142.60 140 11390 $19,583.27 $28.483.22 $48,066.49 332 11391 12 $25,801.73 $121.847.93 $147,449.66 214 11392 $18, 150.36 $17.452.28 $35,602.84 0 11393 $19,580.30 $26.015.44 $45,604.83 223 11394 $25,087.71 $101,194.10 $128.281.81 127 NA-SW- 11395 $18,602.28 $15.847.30 $34,449.58 11398 $25,384.10 $82.344.02 $107,728.11 346 11397 $17,874.80 $24.835.43 $42,710.23 ANDOGONGNGASASO 11398 $19,833.12 $35.652.65 $55,485.77 210 11389 $18,049.93 $8.584.78 $26,634.72 26 11400 $18,019.93 $13.569.34 $31,589.27 11401 $17,008.93 $11.664.32 $28,673.25 130 11402 $18,455.32 $32.829.10 $51,284.42 291 11403 $19,390.90 $23.109.81 $42,500.80 278 11404 $24.647.44 $71.918.09 $06,565.52 248 11405 $26,483.28 $123.777.14 $150,280.41 225Aegis_Home_inspections_data_Modified_Solution - Excel Chart Tools & Share File Home Insert Page Layout Formulas Data Review View Acrobat Design Format ? Tell me what you want to do.. Jamal, Mohammad 41 4 Add Chart Quick Switch Row/ Select Change Move Change Data Chart Element . Layout Colors Column Chart Type Chart Styles Data Type Location Chart Layouts Chart 1 X V A B C D E F G H J K L M N O P Q R EMP ID GENDER YEARS SENIORITY Base Salary Commission | Total Compensation | Region |Contracts written Q1 Q2 Q3 Q4 Q5 Q6 11001 5 $21,059.04 $27,402.41 $48,461.45 13 2 11002 13 $26,073.00 $104,683.28 $130,756.28 460 11003 11 $24,854.42 $59, 113.15 $83,967.57 322 11004 26 $38,296.80 $215,905.69 $254,202.49 467 11005 $20,348.10 $32,036.09 $52,384.19 71 -O 11006 $17,511.06 $19,491.42 $37,002.48 11007 $40,051.39 O $17,617.00 $22,434.39 Scatter Plot 11008 $20,304.01 $28,212.55 $48,516.57 $300,000.00 11009 $19,356.08 $18,844.77 $38,200.86 11010 $17,767.65 $13,664.26 $31,431.91 $250,000.00 Y 11011 $18, 154.03 $17,502.49 $35,656.52 11012 $22,895.49 $74,395.67 $97,291.15 $200,000.00 11013 $23,775.44 $90,762.04 $114,537.49 $10,531.46 $150,000.00 . . Total Compensation 11014 $17,095.89 $27,627.36 11015 $20,314.42 $15,078.80 $35,393.22 AWOUNDgo-- 11016 $20,648.15 $36,094.16 $56,742.31 $100,000.00 11017 $17,819.08 $16,597.44 $34,416.51 11018 $18,584.52 $11,251.59 $29,836.11 $50,000.00 11019 $19, 199.32 $25,395.12 $44,594.45 $0.00 11020 $26, 134.84 $117,998.31 $144, 133.14 5 10 15 20 25 30 11021 $21,057.21 $53,584.82 $74,642.03 11022 $18,329.78 $12,825.34 $31, 155.12 Years of Seniority 11023 $19,581.43 $38,541.13 $58, 122.56 O O 11024 $26, 195.47 $82,855.33 $109,050.80 160 11025 $17,717.43 $22,937.13 $40,654.56 3 11026 $19,624.30 $20,015.59 $39,639.89 10 11027 $18,876.61 $22, 160.06 $41,036.67 132 11028 $18,677.60 $30,688.91 $49,366.52 59 ANWOJOWWW 11029 $20,611.41 $47,652.53 NAGAWAANO-O $27,041.12 148 11030 $18,932.96 $30,829.76 $49,762.71 85 32 11031 $19,384.87 $20, 195.62 $39,580.49 1 14 33 11032 $17,281.44 $15,474.38 $32,755.81 34 11033 $21,221.32 $53,022.07 $74,243.39 264 35 11034 $17,910.93 $9,638.65 $27,549.58 15 Aegis Data Part 1 Part 2 Part 3 Part 4 + Ready Circular References: C100 Average: 31248.93505 Count: 818 Sum: 25499131 " - - + 100% 7:47 PM O e 9 w 6/26/2019Aegis_Home_inspections_data_Modified_Solution - Excel PivotTable Tools File Home Insert Page Layout Formulas Data Review View Acrobat Analyze Design ? Tell me what you want to do... Jamal, Mohammad & Share & Cut EX AutoSum . Arial - 10 - A A E Wrap Text Percentage ZY O BE Copy Fill Paste Merge & Center * % " Conditional Format as Cell Insert Delete Format Sort & Find & Format Painter BIU - - LA Formatting Table Styles Clear Filter . Select Clipboard Font Alignment Number Styles Cells Editing T20 ... X V f 100% M N O P Q R S U V W XY Z AAAA J K Q1 Q3 Q5 Q6 PivotTable Fields X 6 Count of Q4 Column Labels 4 Row Labels 0 1 Grand Total Choose fields to add to report: 9 10 12 22 ONNOWNOR 1 33 27 60 Search 24 52 76 4 16 72 88 EMP ID 10 49 113 162 GENDER Grand Total 132 276 408 YEARS SENIORITY Value Field Settings ? X Base Salary Source Name: Q4 Commission Count of Q4 Column Labels Total Compensation Custom Name: Count of Q4 Row Labels 1 Grand Total Region Summarize Values By Show Values As 1 7.58% 4.35% 5.39% Contracts written 25.00% 9.78% 14.71% Q1 Show values as 18.18% 18.84% 18.63% V DAWN % of Column Total 12. 12% 26.09% 21.57% No Calculation 37.12% 40.94% 39.71% % of Grand Total Grand Total 100.00% 100.00% 100.00% Drag fields between areas below: % of Column Total 9% of Row Total Of Count of Q4 Y FILTERS III COLUMNS % of Parent Row Total 45.00% GENDER 40.00% 35.00% Number Format OK Cancel 30.00% 25.00% GENDER ROWS E VALUES 20.00% 04 Count of Q4 15.00% 1 - N W CT - UT W W 10.00% 5.00% 0.00% Defer Layout Update UPDATE Aegis Data Part 1 Part 2 + " - - + 100% Ready Circular References: C380 7:14 PM O e 9 WE 6/26/2019
Step by Step Solution
There are 3 Steps involved in it
Get step-by-step solutions from verified subject matter experts
