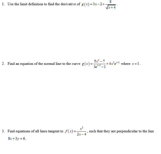
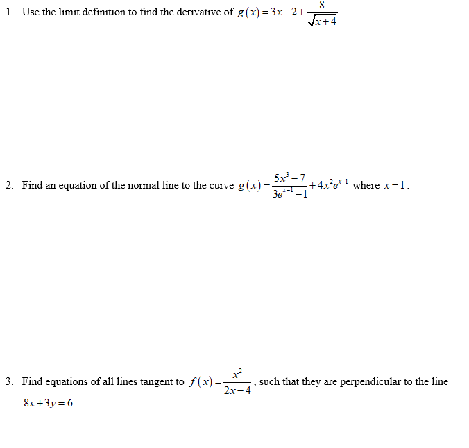
Question: make sure to circle the answer please? 1. Use the limit definition to find the derivative of g (x) = 3x-2+ g Vx+4 2. Find

make sure to circle the answer please?

1. Use the limit definition to find the derivative of g (x) = 3x-2+ g Vx+4 2. Find an equation of the normal line to the curve g(x)=+4x et where x= 1. 30*-1 -1 3. Find equations of all lines tangent to f ( x) =- 2x -4 : such that they are perpendicular to the line 8x+3y =6
Step by Step Solution
There are 3 Steps involved in it
Get step-by-step solutions from verified subject matter experts
