Question: Make sure work is shown completely and correctly. Explain your reasoning and justify each step on each problem. Consider the region bounded by the curve
Make sure work is shown completely and correctly. Explain your reasoning and justify each step on each problem.






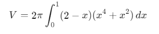
Consider the region bounded by the curve y = x* 4+ 2% the line = 1, and the x-axis. Find the volume of the solid that is formed when this region is revolved about the line x = 2 and express it as an integral. Draw pictures and show all steps. Do not solve the integral. 10 5 0\f\f1 = 2 TT - x3) da\f
Step by Step Solution
There are 3 Steps involved in it
Get step-by-step solutions from verified subject matter experts
