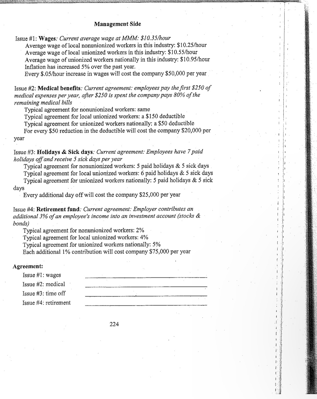
Question: Management Side Issue #1: Wages: Current average wage at MMM: $10.35/hour Average wage of local nonunionized workers in this industry: $10.25/hour Average wage of
Management Side Issue #1: Wages: Current average wage at MMM: $10.35/hour Average wage of local nonunionized workers in this industry: $10.25/hour Average wage of local unionized workers in this industry: $10.55/hour Average wage of unionized workers nationally in this industry: $10.95/hour Inflation has increased 5% over the past year. Every $.05/hour increase in wages will cost the company $50,000 per year Issue #2: Medical benefits: Current agreement: employees pay the first $250 of medical expenses per year, after $250 is spent the company pays 80% of the remaining medical bills Typical agreement for nonunionized workers: same Typical agreement for local unionized workers: a $150 deductible Typical agreement for unionized workers nationally: a $50 deductible For every $50 reduction in the deductible will cost the company $20,000 per year Issue #3: Holidays & Sick days: Current agreement: Employees have 7 paid holidays off and receive 5 sick days per year days Typical agreement for nonunionized workers: 5 paid holidays & 5 sick days Typical agreement for local unionized workers: 6 paid holidays & 5 sick days Typical agreement for unionized workers nationally: 5 paid holidays & 5 sick Every additional day off will cost the company $25,000 per year Issue #4: Retirement fund: Current agreement: Employer contributes an additional 3% of an employee's income into an investment account (stocks & bonds) Typical agreement for nonunionized workers: 2% Typical agreement for local unionized workers: 4% Typical agreement for unionized workers nationally: 5% Each additional 1% contribution will cost company $75,000 per year Agreement: Issue #1: wages Issue #2: medical Issue #3: time off Issue #4: retirement 224
Step by Step Solution
There are 3 Steps involved in it
Get step-by-step solutions from verified subject matter experts
