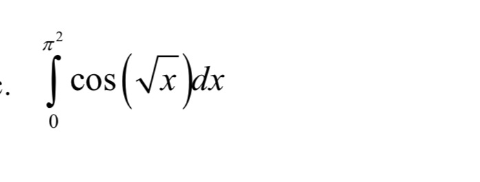
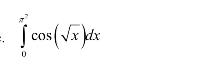
Question: Math calculus please show all steps 2 [ cos (Vx ) dx 0 2 j cos(cxpx

Math calculus please show all steps

2 [ cos (Vx ) dx 0
2 j cos(cxpx
Step by Step Solution
There are 3 Steps involved in it
Get step-by-step solutions from verified subject matter experts
