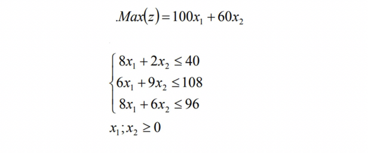
Question: Max ( z ) = 1 0 0 x 1 + 6 0 x 2 { 8 x 1 + 2 x 2 4 0
Max
;
Step by Step Solution
There are 3 Steps involved in it
1 Expert Approved Answer
Step: 1 Unlock
Question Has Been Solved by an Expert!
Get step-by-step solutions from verified subject matter experts
Step: 2 Unlock
Step: 3 Unlock
