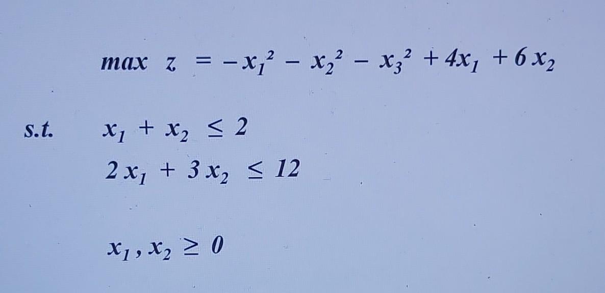
Question: - - max z = - x;? xz? x32 + 4x, +6 x2 s.t. x + x = 2 2 x, + 3 x2 =

- - max z = - x;? xz? x32 + 4x, +6 x2 s.t. x + x = 2 2 x, + 3 x2 = 12 x , x > 0
Step by Step Solution
There are 3 Steps involved in it
1 Expert Approved Answer
Step: 1 Unlock
Question Has Been Solved by an Expert!
Get step-by-step solutions from verified subject matter experts
Step: 2 Unlock
Step: 3 Unlock
