Question: may anyone that know how to answer these problems with an explanation for understanding help me? cause I'm struggling, please help me 2. Two polynomial

may anyone that know how to answer these problems with an explanation for understanding help me?

cause I'm struggling, please help me

may anyone that know how to answer these problemsmay anyone that know how to answer these problemsmay anyone that know how to answer these problemsmay anyone that know how to answer these problemsmay anyone that know how to answer these problems
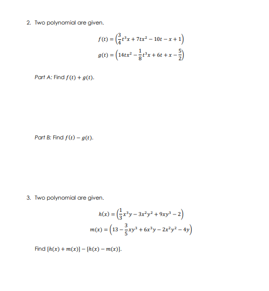
2. Two polynomial are given. f() = =#3x+ 7tx2 - 10t - x + 1) g(t) = (14tx] - -+3x + 6t +x -;) Part A: Find f (t) + g(t). Part B: Find f (t) - g(t). 3. Two polynomial are given. h(x) = (xly -3x]yz + 9xy3 -2) m(x) = (13 -=xy3 + 6x3y -2x]yz - 4y) Find [h(x) + m(x)] - [h(x) - m(x)].4. Calisto Publishing Co. sells graphic novels and comics to a large retailer for $7.50 per book. The daily cost, in dollars, for the company to print x books is C(x) = 4.50x + 1700 Part A: What do the linear term and constant in the cost function represent? Part B: Write a revenue function and the profit function for Calisto Publishing Co. 5. During the holidays, Toys 4 U donate boxes of toys to communities in need. The company ships the toys in three different boxes. The owners need to determine how much more space the larger boxes have for shipping purposes. The volume of the shipping boxes in cubic feet are expressed in the following table. Size Volume Function Small s( x) = x3+4x- + 11x +23 Medium m(x) = 2x3 +11x3 + 17x +6 Large I(x) = 2x3 +21x3 + 38x + 95 Part A: Write an expression to represent the extra space available in the medium box when compared to the small box. Part B: Write an expression to represent the extra space available in the large box when compared to the medium box. Part C: Write an expression to represent the extra space available in the large box when compared to the small box.6. Donald solved a BEAT THE TEST! problem and gave it to his teacher, Mrs. Calistoga, at the end of the class period. A copy of his work is shown below. BEAT THE TEST! 1. Consider the following polynomial functions: f(k) =-4K#+14+342 g (k) = -3k4 - 14k2 - 8 r(k) = -1424 - 2 s(k) = -3k* + 5k2 - 1 t(k) = 4k* + 16k3 - 7 Which of the following represent an expression equivalent to If (k) + g(k)] - [s(k) - t(k)]= e(K) + 3 (1) s ( k ) - + (k ) -2 0 -4k"+ 14+ 3k -3k"+ 5k - 1 7 - k -1 - 14k# -4k" -1613-7 r(k) -7k " +6 -Ilk" -7k" -lik - [ for)+ g(1 )] - [ S( K) - + (k)] 6-8 :-2 Suppose that Mrs. Calistoga asks you to check and grade Donald's work. Is Donald's work correct? If so, justify each step of his work. If he is not correct, identify the step(s) that are incorrect, and determine the right answer.Perform the following operations to find the terms to complete the blanks. 5. (a - 1)(1+ a+ a] ) = - 1 6. [(x - y) + 7][(x - y) - 7] = - 49 7. -5(3y* - 4y] + 7x)(y] - 3x) = (yz - 3x) = -15y6 + + 105x2 B. (3m - 2n)3 = (9m2 - 12mn + 4n?) . = 27m#- -8n3 Consider the following functions. Perform the operations to determine the values of a, b, c. d, and e. 9. f(x) = (x' +7x - 12) and g(x) = (x -9x + 1) f(x) . g(x) = ax* - bx3 - cx' + dx -e 10.h(x) = (x2 +2) and k(x) = (2x2 - 5x + 7) h(x) . k(x) = ax* - bx3 - cx' + dx -e11. Consider the figure below. (x) ft (x] - 6) ft (5x - 14) ft (2x3 - 5x2 - 12x + 14) ft What is the total area, in square feet, of the figure

Step by Step Solution

There are 3 Steps involved in it

1 Expert Approved Answer
Step: 1 Unlock blur-text-image
Question Has Been Solved by an Expert!

Get step-by-step solutions from verified subject matter experts

Step: 2 Unlock
Step: 3 Unlock

Students Have Also Explored These Related Mathematics Questions!