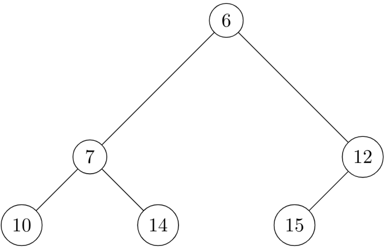
Question: Min Heap Add, in java 1. If the value 4 is added to the min heap below, what number will end up in the new
Min Heap Add, in java
1. If the value 4 is added to the min heap below, what number will end up in the new bottom right leaf node?

A. 4
B. 6
C. 12
D. 15
E. None of the above
2. How many TOTAL swaps will occur when adding the elements 6, 2, 7, 12, 5, 3, 4 (in that order) to a MAX heap?
A. 1
B. 2
C. 3
D. 4
E. 5
3. What the maximum number of swaps that could occur when building a heap with 10 items?
A. 3
B. 6
C. 10
D. 19
E. 30
6 7 12 10 14 15
Step by Step Solution
There are 3 Steps involved in it
Get step-by-step solutions from verified subject matter experts
