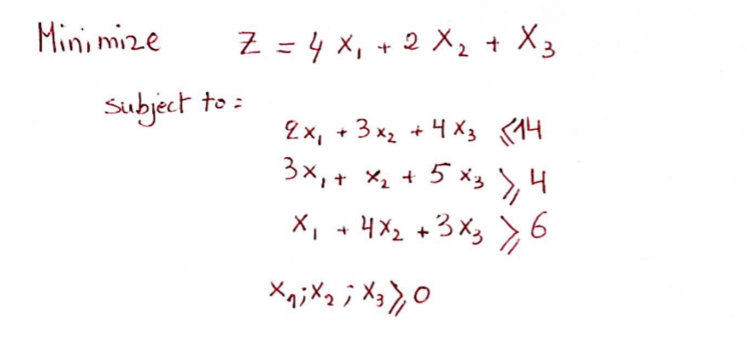
Question: Minimize 2 = 4, + 2 x, 1 . t Sirbject to : 55 ), 2, + 3x. + , 3, + x, 453 +

Step by Step Solution
There are 3 Steps involved in it
1 Expert Approved Answer
Step: 1 Unlock
Question Has Been Solved by an Expert!
Get step-by-step solutions from verified subject matter experts
Step: 2 Unlock
Step: 3 Unlock
