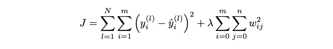
Question: Minimizing the following cost function instead of the one used to derive the single layered perceptron learning rule. where, there are n inputs and m
Minimizing the following cost function instead of the one used to derive the single layered perceptron learning rule.

where, there are n inputs and m outputs and wij is the weight between output i and input j, and > 0 is a user chosen parameter to weigh the relative contributions of the two terms. This results in what:
(a) preventing overtting in the presence of noise
(b) limiting the magnitude of the weights
(c) Prioritizing some weights over others
(d) Both (a) and (b)
(e) Has little effect irrespective of
N m J = (0) - ) + , 1=1 i=1 i=0 j=0 N m J = (0) - ) + , 1=1 i=1 i=0 j=0
Step by Step Solution
There are 3 Steps involved in it
1 Expert Approved Answer
Step: 1 Unlock
Question Has Been Solved by an Expert!
Get step-by-step solutions from verified subject matter experts
Step: 2 Unlock
Step: 3 Unlock
