Question: MIT 6 8 1 - 1 Assignment 3 Your recommendations about Big Data and Data Warehousing as they involve the new DA function Describe YOUR
MIT Assignment
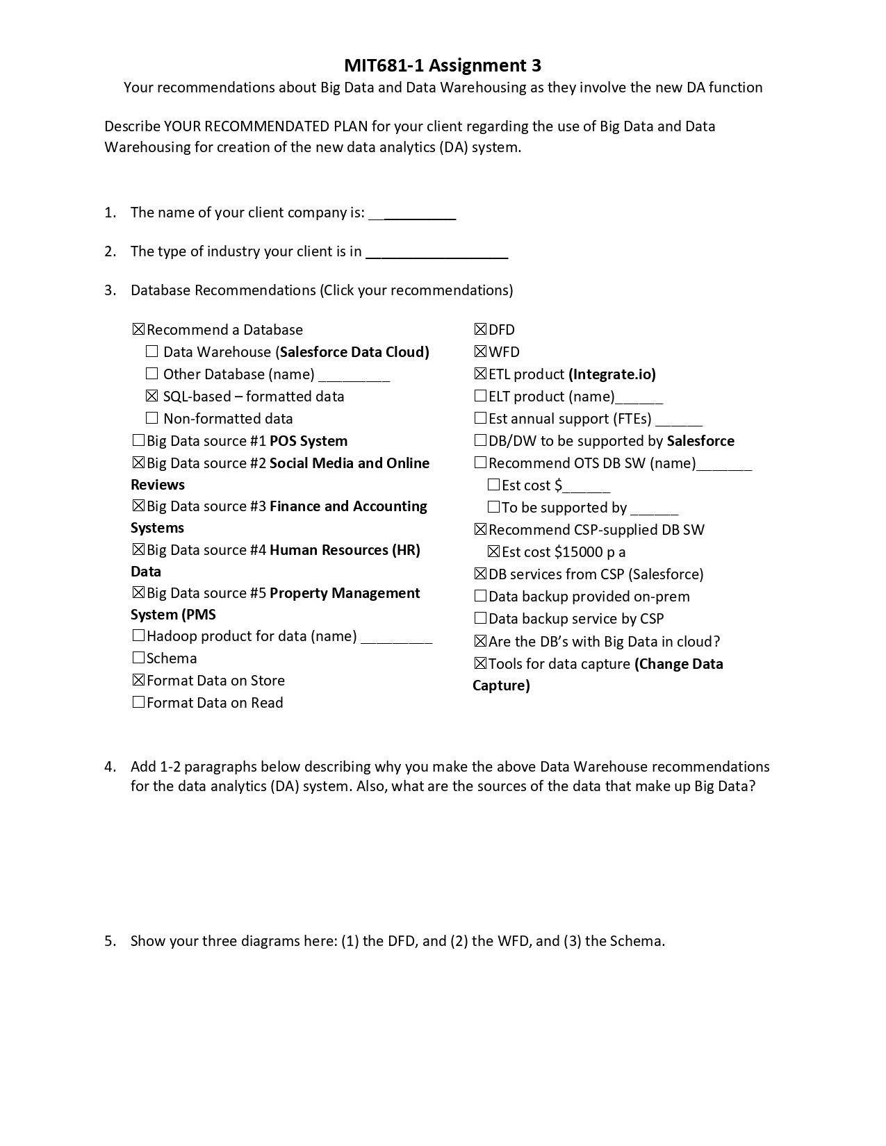
Your recommendations about Big Data and Data Warehousing as they involve the new DA function
Describe YOUR RECOMMENDATED PLAN for your client regarding the use of Big Data and Data
Warehousing for creation of the new data analytics DA system.
The name of your client company is:
The type of industry your client is in
Database Recommendations Click your recommendations
Recommend a Database
Data Warehouse Salesforce Data Cloud
Other Database name
SQLbased formatted data
Nonformatted data
Big Data source # POS System
Big Data source # Social Media and Online
Reviews
Big Data source # Finance and Accounting
Systems
Big Data source # Human Resources HR
Data
Big Data source # Property Management
System PMS
Hadoop product for data name
Schema
Format Data on Store
Format Data on Read
DFD
WFD
ETL product Integrateio
ELT product name
Est annual support FTEs
DBDW to be supported by Salesforce
Recommend OTS DB SW name
Est cost $
To be supported by
Recommend CSPsupplied DB SW
Est cost $ p a
DB services from CSP Salesforce
Data backup provided onprem
Data backup service by CSP
Are the DBs with Big Data in cloud?
Tools for data capture Change Data
Capture
Add paragraphs below describing why you make the above Data Warehouse recommendations
for the data analytics DA system. Also, what are the sources of the data that make up Big Data?
Show your three diagrams here: the DFD and the WFD and the Schema.
Please draw DFD WFD and schema and share as jpg TIA
Step by Step Solution
There are 3 Steps involved in it
1 Expert Approved Answer
Step: 1 Unlock
Question Has Been Solved by an Expert!
Get step-by-step solutions from verified subject matter experts
Step: 2 Unlock
Step: 3 Unlock
