Question: Mixed model assembly line with priority table a) Balance the line. b) Create the balance diagram, c) Find the balance loss and efficiency, d) Calculate
Mixed model assembly line with priority table a) Balance the line. b) Create the balance diagram, c) Find the balance loss and efficiency, d) Calculate the lost time and product quantity per hour, Set the deadlines yourself, prepare your answers understandable AND THE ANSWER TO THIS QUESTION IS NOT ARF RAHMAN! IF YOU WRITE THAT TEXT I WILL REPORT THE ANSWER
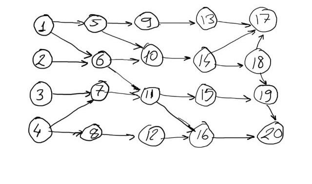
A model 300 pcs/week, ; B model 100 pcs/week, ; C model 200 pcs/week order of operations; A; 5,6,9,10,11,13,14,15,16,17,18,19 B;2,3,6,7,8,10,11,14,15,16,18,19,20 C;4,7,8,11,12,15,16,19,20
This question needs to be solved mathematically and explained in detail.!!


Step by Step Solution
There are 3 Steps involved in it
Get step-by-step solutions from verified subject matter experts
