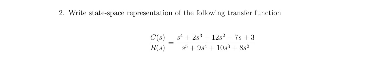
Question: Modeling in time Domain 2 / write state space representation of the following transfer function C ( s ) R ( s ) = s
Modeling in time Domain
write state space representation of the following transfer function
please solve it soon as possible.
Step by Step Solution
There are 3 Steps involved in it
1 Expert Approved Answer
Step: 1 Unlock
Question Has Been Solved by an Expert!
Get step-by-step solutions from verified subject matter experts
Step: 2 Unlock
Step: 3 Unlock
