Question: Module 7 - Simplex Method, Simplex Tableau and Iterations Consider the following linear program: 1.a - Write the problem in standard form. 1.b - How
Module 7 - Simplex Method, Simplex Tableau and Iterations
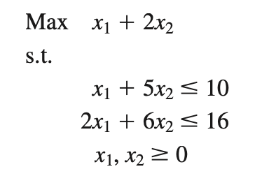
Consider the following linear program:

1.a - Write the problem in standard form.
1.b - How many variables will be set equal to zero in a basic solution for this problem?
1.c - Find all the basic solutions, and indicate which are also feasible.
1.d - Find the optimal solution by computing the value of each basic feasible solution.
Be sure to put the problem in a Simplex Tableau, by using the table below. Provide detailed, step by step instructions on how you completed each iteration, and how reached your final iteration and tableu.
| Basis | CB | RHS | ||||||
x1+2x2x1+5x2102x1+6x216x1,x20 x1+2x2x1+5x2102x1+6x216x1,x20
Step by Step Solution
There are 3 Steps involved in it
Get step-by-step solutions from verified subject matter experts
