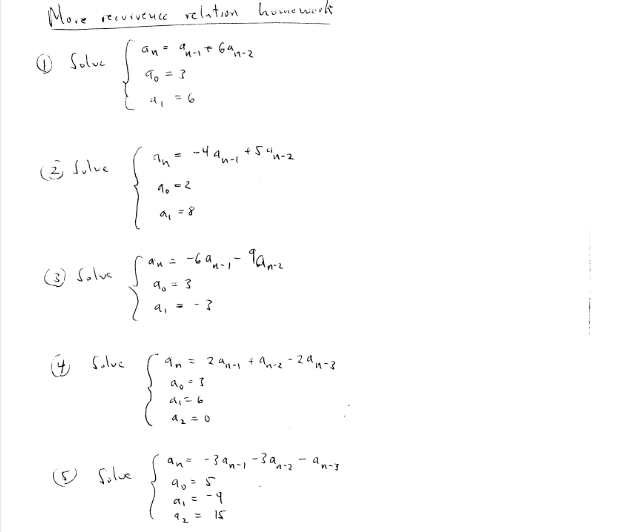
Question: More resurvence relation homework ( 1 ) Solve a n = a n - 1 + 6 a n - 2 a 0 = 3
More resurvence relation homework
Solve
Julue
Solve
Solve
Silue
Focus on Question and
Step by Step Solution
There are 3 Steps involved in it
1 Expert Approved Answer
Step: 1 Unlock
Question Has Been Solved by an Expert!
Get step-by-step solutions from verified subject matter experts
Step: 2 Unlock
Step: 3 Unlock
