Question: Multiple Choice Probability Question To allow customers to take breaks while streaming a movie or to decide to quit before finishing watching a title, we
Multiple Choice Probability Question
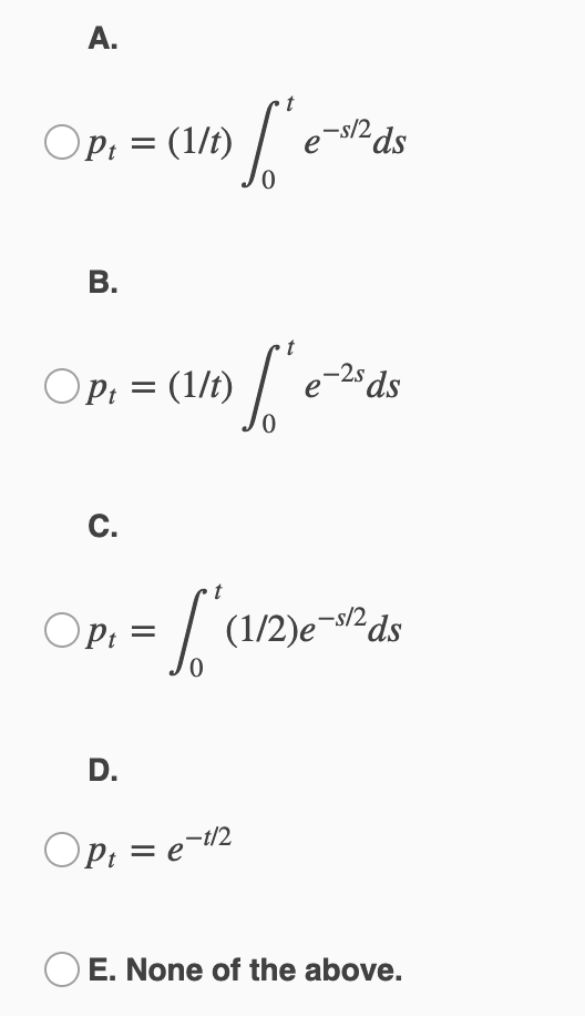
To allow customers to take breaks while streaming a movie or to decide to quit before finishing watching a title, we model the length of a streaming session for a Romance movie as an exponential random variable with mean 2 hours. Let Y(t) denote the number of Romance movies currently being streamed at time t, assuming that download requests started at time zero. Which of the following corresponds to the probability that a Romance movie is being streamed at time t:

\f
Step by Step Solution
There are 3 Steps involved in it
Get step-by-step solutions from verified subject matter experts
