Question: multiple choice question Two balls of the same mass and the same speed collide with a block of wood. One ball is made of putty,








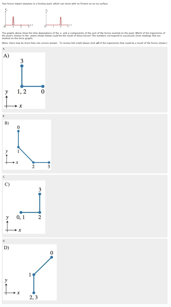
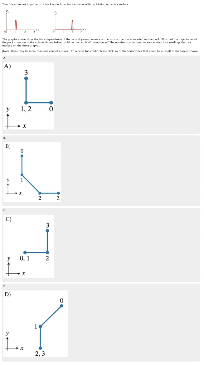
multiple choice question Two balls of the same mass and the same speed collide with a block of wood. One ball is made of putty, and stops when it hits the block of wood. One ball is made of rubber, and bounces backward when it hits the block of wood. Which ball delivers the larger impulse to the block of wood? A. They exert equal impulses. B. The putty ball exerts a larger impulse. C. The rubber ball exerts a larger impulse.Two forces impart impulses to a hockey puck, which can move with no friction on an icy surface. The graphs above show the time dependence of the x- and y-components of the sum of the forces exerted on the puck. Which of the trajectories of the puck's motion in the -plane shown below could be the result of these forces? The numbers correspond to successive clock readings that are marked on the force graphs. [Note: there may be more than one correct answer. To receive full credit please click all of the trajectories that could be a result of the forces shown.] A. A) 1, 2 O X B. B) X N C. C) Ow 0, 1 2 X D. D) O x 2, 3multiple choice question A basketball with mass 0.1 kg is traveling down and to the right with vy = +5 m/s, and vy; =-5 m/'s. It hits the horizontal ground, and then is traveling up and to the right with vy= +5 m/'s, and vy= +4 m/'s. During the collision with the ground, what is the change in the y-component of the ball's momentum? A. +0.5 kg m/s B. -0.5 kg m/s C. +0.1 kg m/s D. +0.9 kg m/s E. zeromultiple choice question A basketball with mass 0.1 kg is traveling down and to the right with vy = +5 m/s, and vy =-5 m/'s. It hits the horizontal ground, and then is traveling up and to the right with vy= +5 m/'s, and vy= +4 m/'s. During the collision with the ground, what is the change in the x-component of the ball's momentum? A. +0.5 kg m/s B -0.5 kg m/s C. +0.1 kg m/s D. +0.9 kg m/s E. zero
Step by Step Solution
There are 3 Steps involved in it
Get step-by-step solutions from verified subject matter experts
